Time management is very much important in IIT JAM. The eduncle test series for IIT JAM Mathematical Statistics helped me a lot in this portion. I am very thankful to the test series I bought from eduncle.
Nilanjan Bhowmick AIR 3, CSIR NET (Earth Science)



Chashokreddy18@gmail.com Tiwari
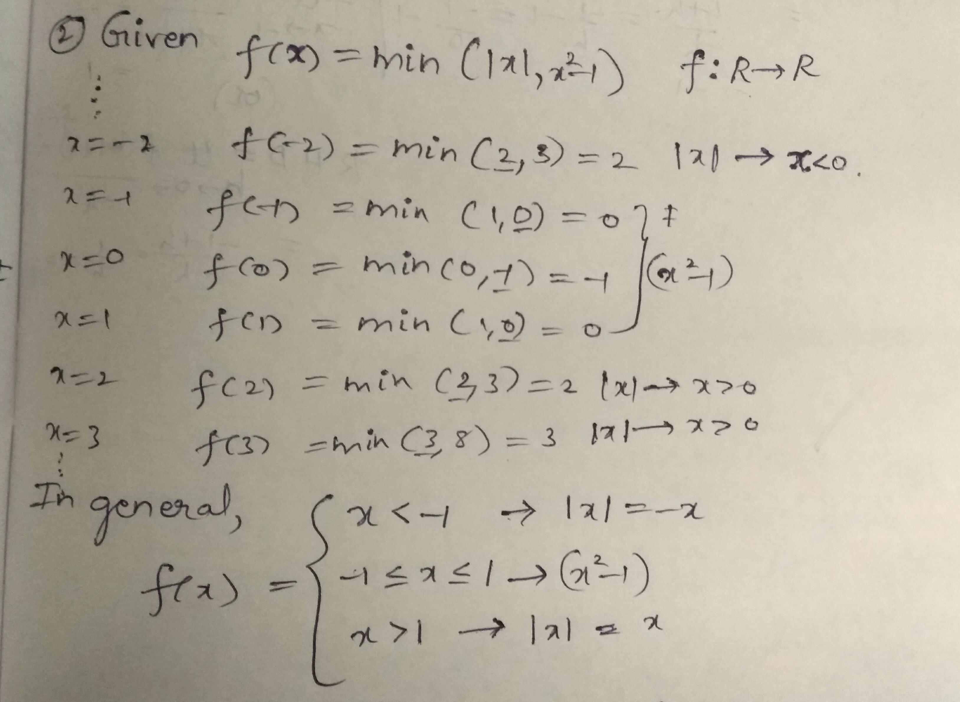
I have attached two images, please see that. My doubt is when I solved by using the def of differentiability , I got discontinuous everywhere. So I request once you to check and solve by the def of differentiability.