profile-img
Vijay posted an Question
July 05, 2022 • 03:26 am 30 points
  • CSIR NET
  • Mathematical Sciences

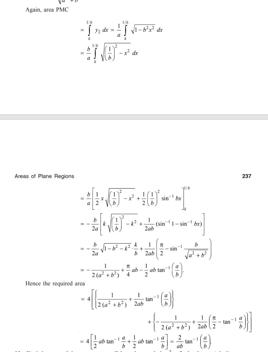
. show that the area common to the ellipses a + b = 1, when 0 < a

. Show that the area common to the ellipses a + b = 1, when 0 < a

1 Answer(s) Answer Now
  • 0 Likes
  • 1 Comments
  • 0 Shares

whatsapp-btn

Do You Want Better RANK in Your Exam?

Start Your Preparations with Eduncle’s FREE Study Material

  • Updated Syllabus, Paper Pattern & Full Exam Details
  • Sample Theory of Most Important Topic
  • Model Test Paper with Detailed Solutions
  • Last 5 Years Question Papers & Answers