profile-img
Vijay posted an Question
July 10, 2022 • 22:43 pm 30 points
  • CSIR NET
  • Mathematical Sciences

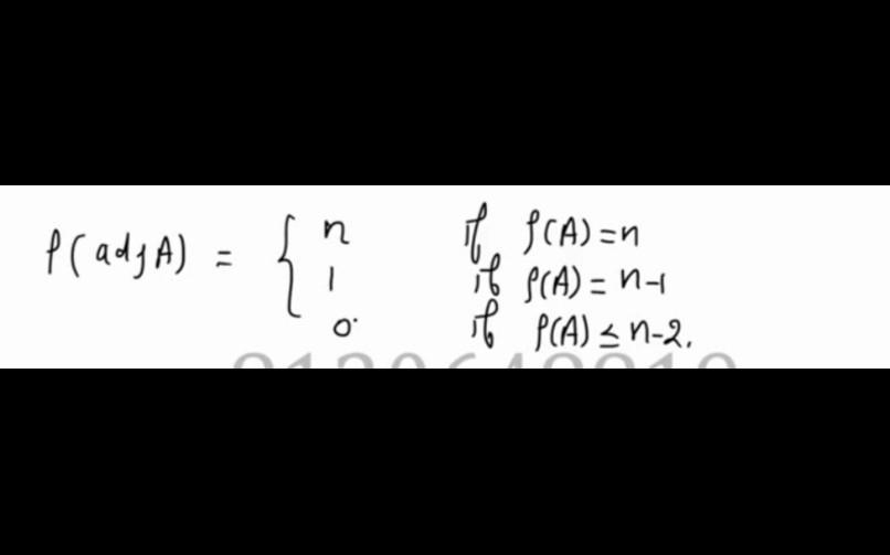
The possibilities of the rank of the adjoint of a matrix of rank 9 of order 10 with real entries a1 g10 d 9

The possibilities of the rank of the adjoint of a matrix of rank 9 of order 10 with real entries A1 G10 D 9

1 Answer(s) Answer Now
  • 0 Likes
  • 1 Comments
  • 0 Shares
whatsapp-btn

Do You Want Better RANK in Your Exam?

Start Your Preparations with Eduncle’s FREE Study Material

  • Updated Syllabus, Paper Pattern & Full Exam Details
  • Sample Theory of Most Important Topic
  • Model Test Paper with Detailed Solutions
  • Last 5 Years Question Papers & Answers