Time management is very much important in IIT JAM. The eduncle test series for IIT JAM Mathematical Statistics helped me a lot in this portion. I am very thankful to the test series I bought from eduncle.
Nilanjan Bhowmick AIR 3, CSIR NET (Earth Science)


Shashi ranjan sinha
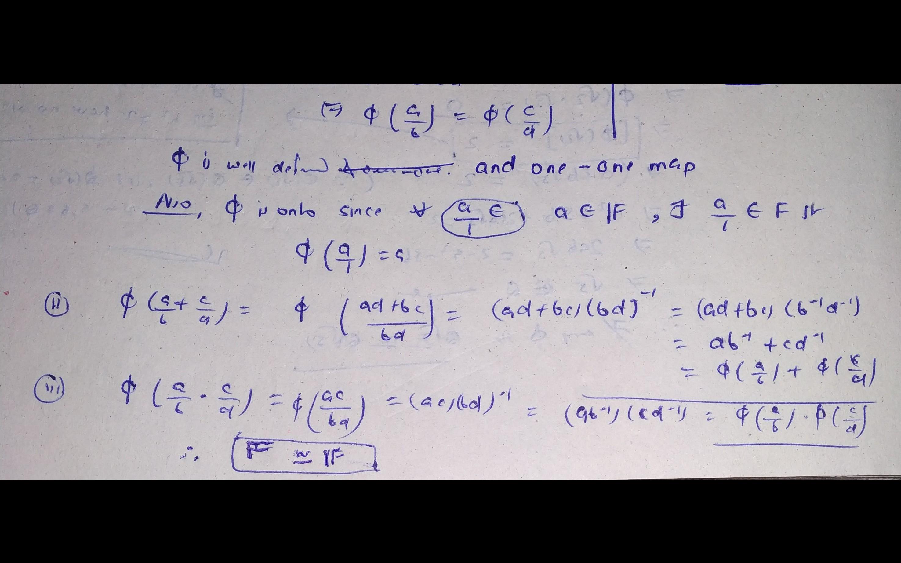
domain F is the given field while codomain F is its field of fractions or quoteint fields....this proof shows that both are isomorphic