profile-img
Vijay posted an Question
June 10, 2022 • 02:39 am 30 points
  • CSIR NET
  • Mathematical Sciences

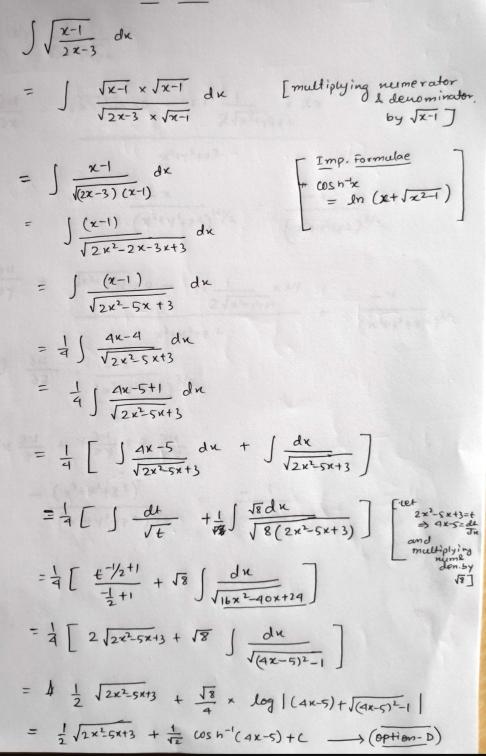
X-1 dx = v 2x 3d

X-1 dx = V 3d = X-1 dx = V 3d = V X-1 dx = V 3d = V 3d 3d 3d 3d 3d

1 Answer(s) Answer Now
  • 0 Likes
  • 1 Comments
  • 0 Shares
whatsapp-btn

Do You Want Better RANK in Your Exam?

Start Your Preparations with Eduncle’s FREE Study Material

  • Updated Syllabus, Paper Pattern & Full Exam Details
  • Sample Theory of Most Important Topic
  • Model Test Paper with Detailed Solutions
  • Last 5 Years Question Papers & Answers