profile-img
Syed Shoaib posted an Question
November 01, 2021 • 13:50 pm 30 points
  • IIT JAM
  • Physics (PH)

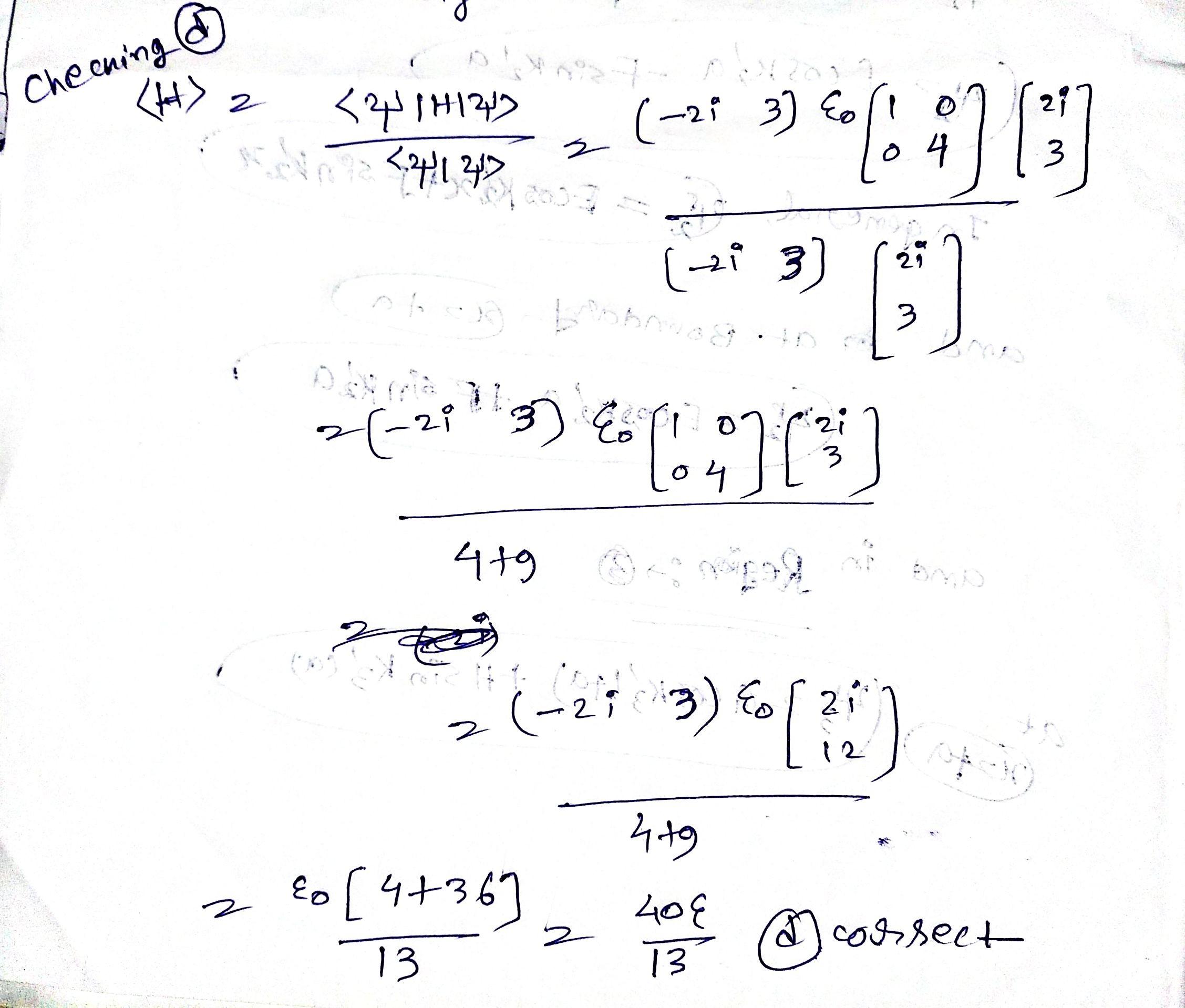
0 if hamiltonian h is defined as h=€ measure on state y = 4 (a) if hwill measure on state y measurement is 56, (6) if h will measure on state y measurement is l

0 If Hamiltonian H is defined as H=€ measure on state y = 4 (a) if Hwill measure on state y measurement is 56, (6) if H will measure on state y measurement is le,46 (c) Expectation value of H on eigen state|is le, 40 (d) Expectation value of H on eigen state is 13

1 Answer(s) Answer Now
  • 0 Likes
  • 1 Comments
  • 0 Shares
whatsapp-btn

Do You Want Better RANK in Your Exam?

Start Your Preparations with Eduncle’s FREE Study Material

  • Updated Syllabus, Paper Pattern & Full Exam Details
  • Sample Theory of Most Important Topic
  • Model Test Paper with Detailed Solutions
  • Last 5 Years Question Papers & Answers