Time management is very much important in IIT JAM. The eduncle test series for IIT JAM Mathematical Statistics helped me a lot in this portion. I am very thankful to the test series I bought from eduncle.
Nilanjan Bhowmick AIR 3, CSIR NET (Earth Science)
>
>
>


Deepak singh 1
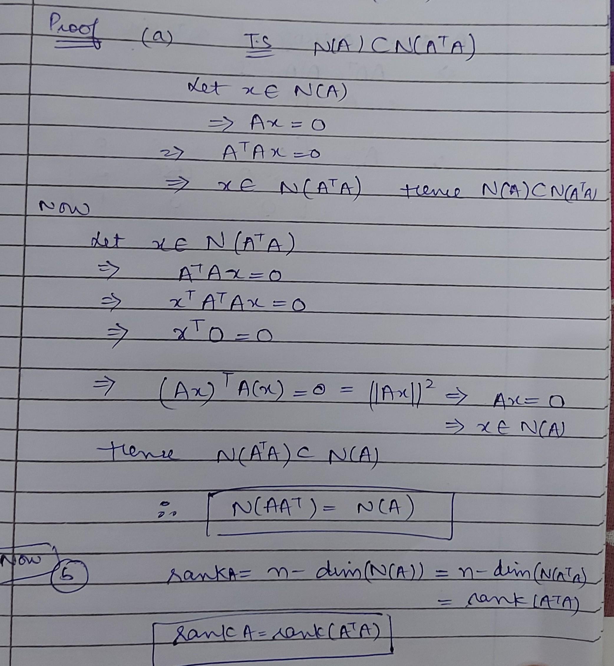
rank(A) = rank (AtA) , so rank (AtA) is less than or equal to 2 . so option 4 is correct.