Time management is very much important in IIT JAM. The eduncle test series for IIT JAM Mathematical Statistics helped me a lot in this portion. I am very thankful to the test series I bought from eduncle.
Nilanjan Bhowmick AIR 3, CSIR NET (Earth Science)
>
>

>
>


Ruby negi
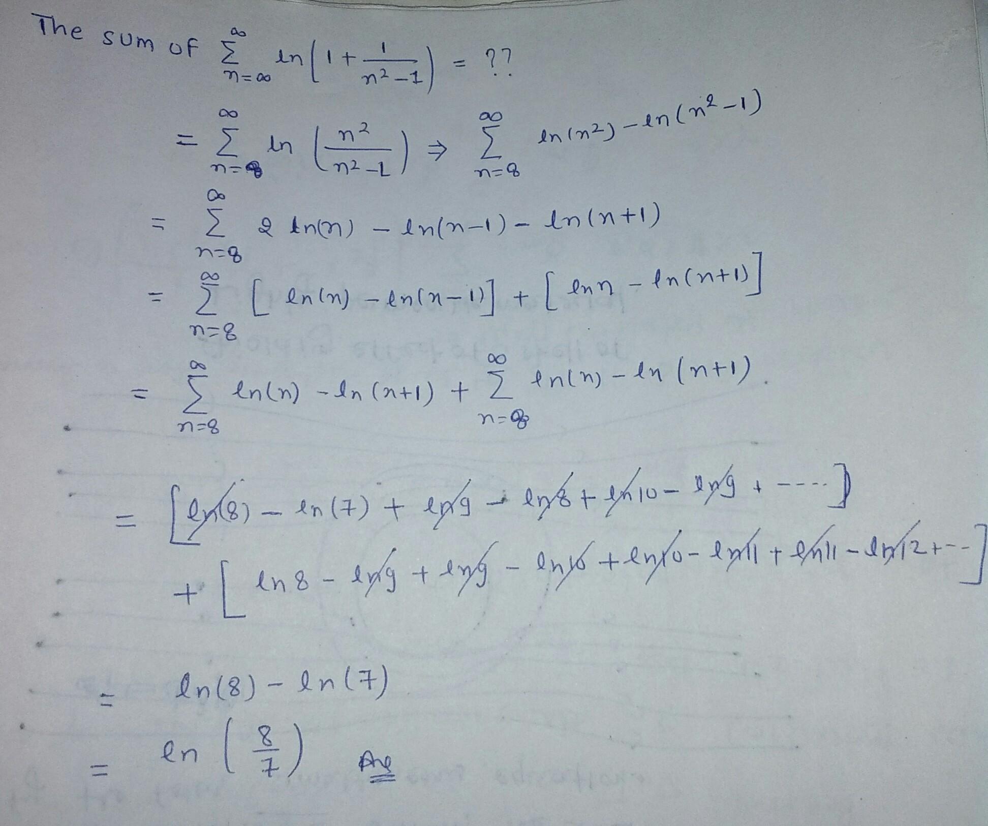
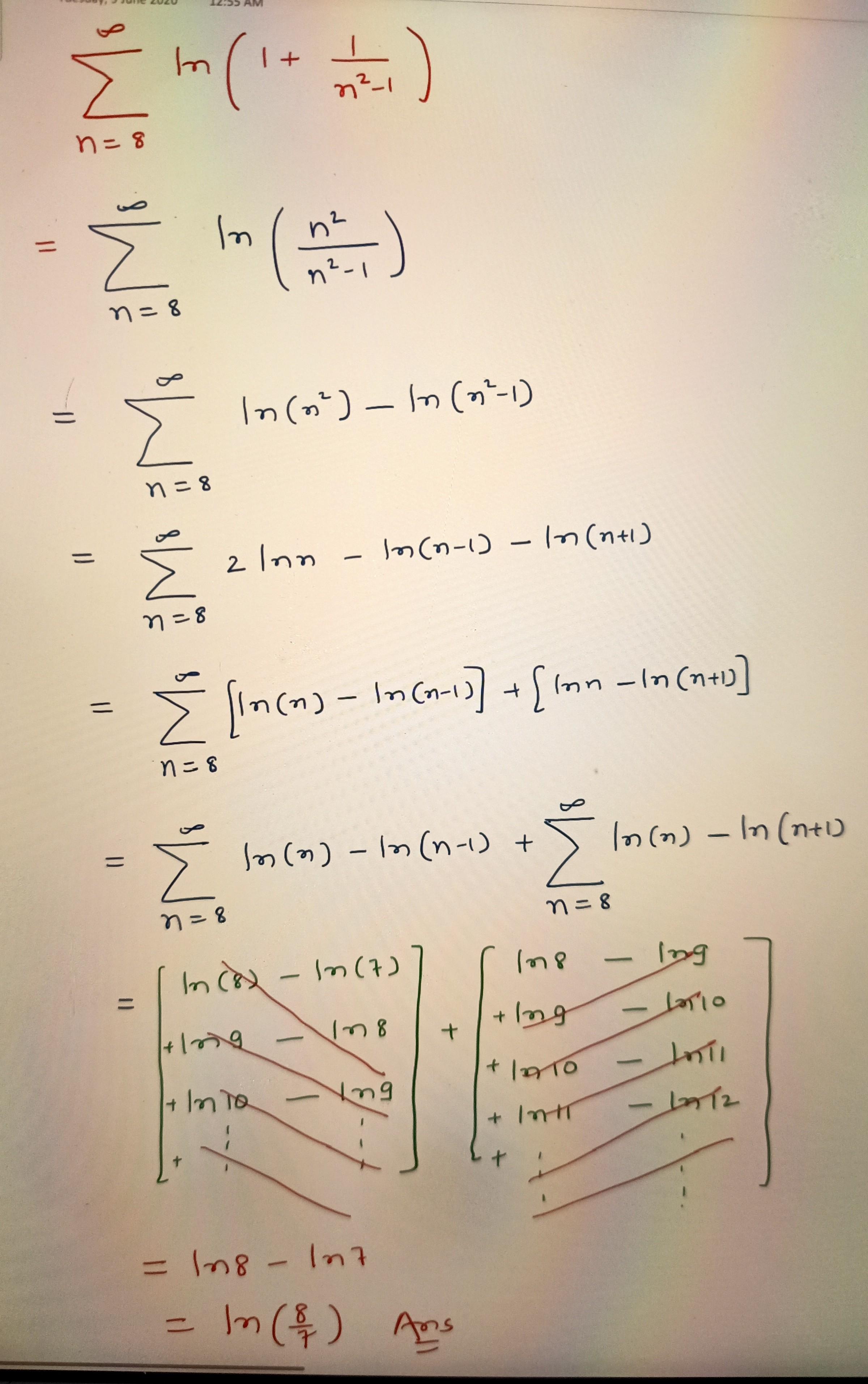
see this...I convert it into two series
I used the identity ln( ab)=ln(a)+ln(b)
I used the identity ln (ab)=ln(a)+ln(b)
also ln(a/b)=ln(a)-ln(b)