Time management is very much important in IIT JAM. The eduncle test series for IIT JAM Mathematical Statistics helped me a lot in this portion. I am very thankful to the test series I bought from eduncle.
Nilanjan Bhowmick AIR 3, CSIR NET (Earth Science)


Alka gupta Best Answer
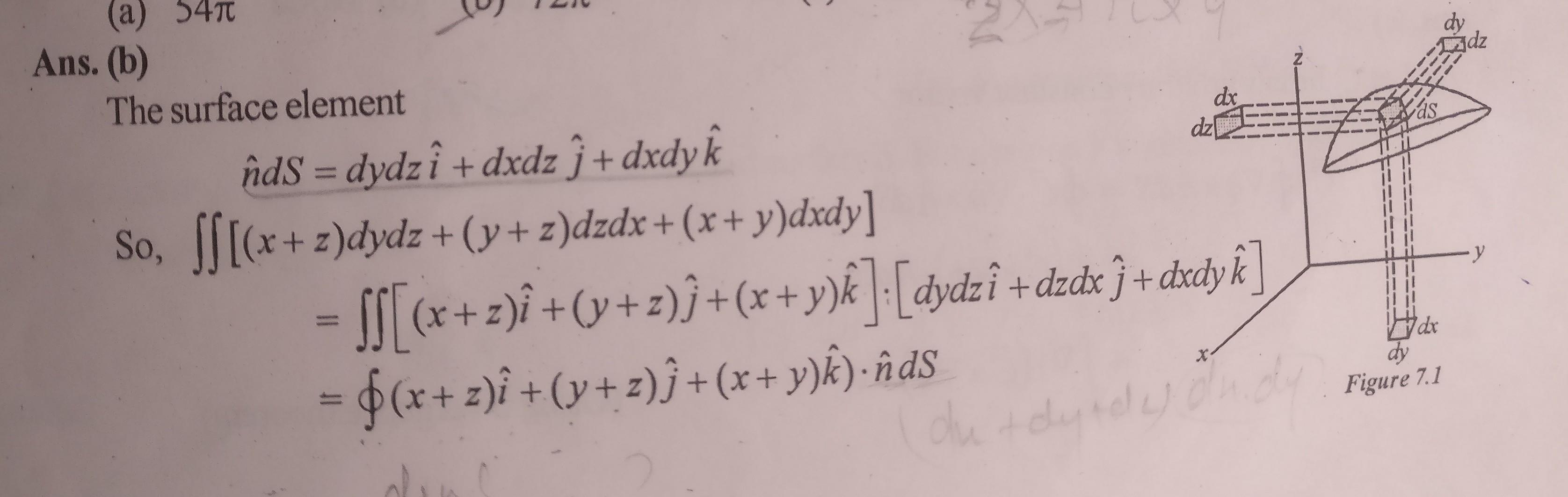
you can solve in this way also....see attachment
Alka ma'am this visual picture polished my concept, thank you so much, ma'am.
Alka ma'am is that a samvedna publication?
yes...