Time management is very much important in IIT JAM. The eduncle test series for IIT JAM Mathematical Statistics helped me a lot in this portion. I am very thankful to the test series I bought from eduncle.
Nilanjan Bhowmick AIR 3, CSIR NET (Earth Science)


Anonymous User
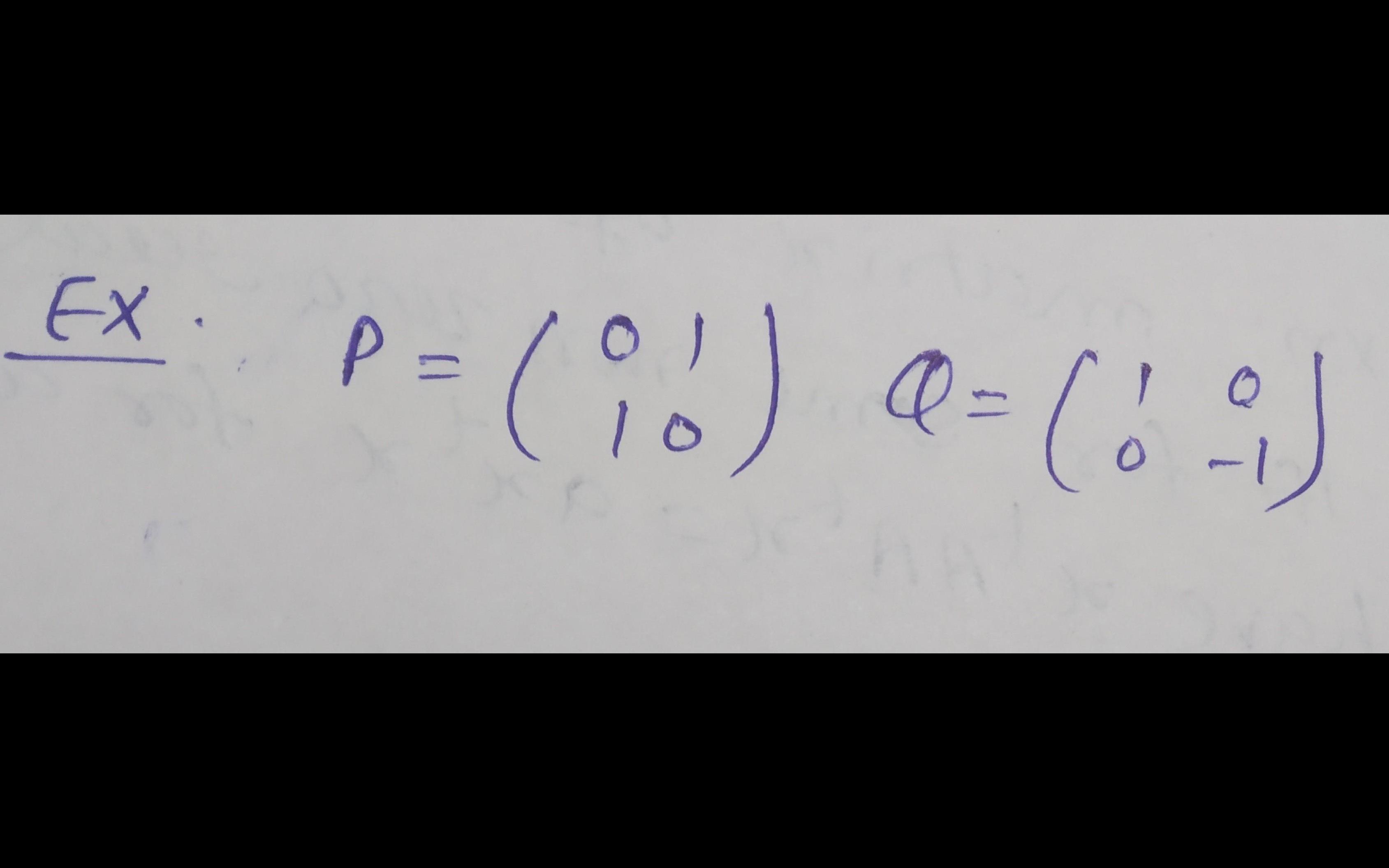
Pre-multiply by P−1 to get Q=P−1(−Q)P which implies that matrices Q and −Q are similar, so tr(Q)=tr(−Q)⟹tr(Q)=0. Similarly you can get tr(P)=0 also