Thanu Dharshani posted an Question
December 14, 2021 • 23:52 pm 30 points
  • IIT JAM
  • Mathematics (MA)

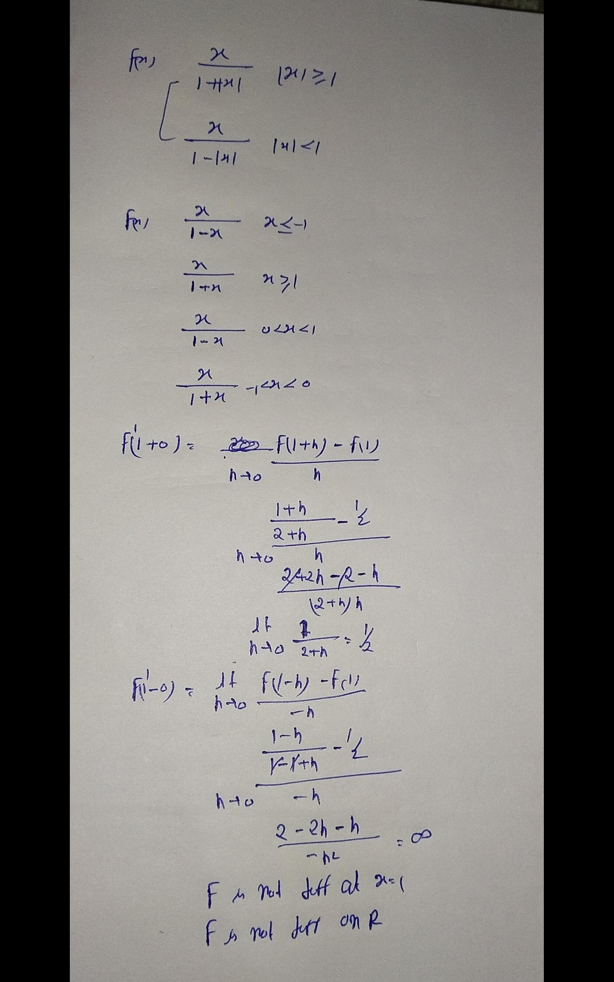
12 2) ce) 1-(21 n-df p

how to solve this sum..............................................

1 Answer(s) Answer Now
  • 0 Likes
  • 1 Comments
  • 0 Shares
whatsapp-btn

Do You Want Better RANK in Your Exam?

Start Your Preparations with Eduncle’s FREE Study Material

  • Updated Syllabus, Paper Pattern & Full Exam Details
  • Sample Theory of Most Important Topic
  • Model Test Paper with Detailed Solutions
  • Last 5 Years Question Papers & Answers