Time management is very much important in IIT JAM. The eduncle test series for IIT JAM Mathematical Statistics helped me a lot in this portion. I am very thankful to the test series I bought from eduncle.
Nilanjan Bhowmick AIR 3, CSIR NET (Earth Science)


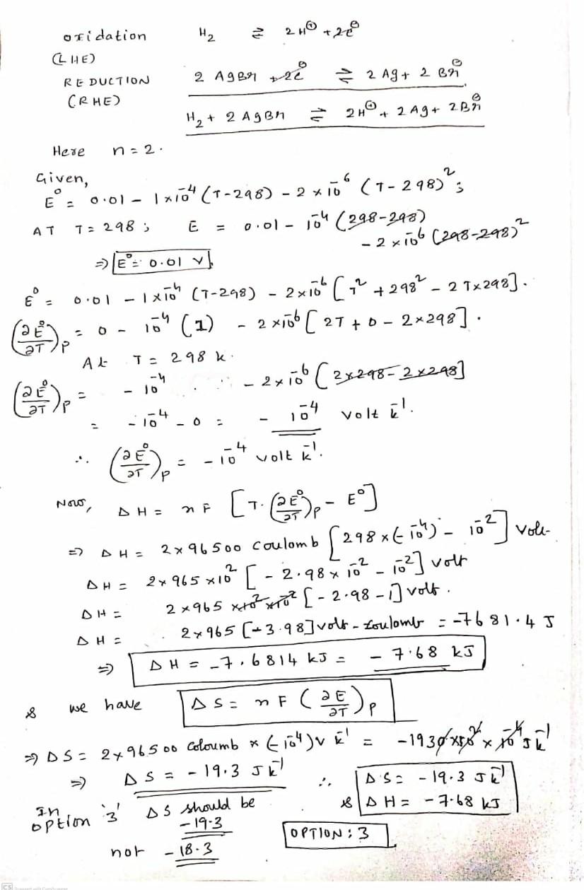
D s kumar Best Answer
option 3 is correct...but the change entropy should be given as - 19.3 J/ k but not - 18.3 J/K..