Md Azharuddin posted an Question
July 30, 2022 • 01:14 am 30 points
  • IIT JAM
  • Mathematics (MA)

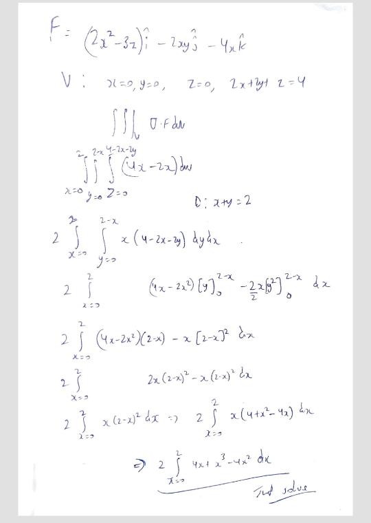
14. if f=(2x3-32)i-2xy i4x k, then evaluate v.f dv where is the closed region bounded by the planes x=0, y=0, z=0 and 2x+2 +2=4. [kappur 19761

14. If F=(2x3-32)i-2xy i4x k, then evaluate V.F dV where is the closed region bounded by the planes X=0, y=0, z=0 and 2x+2 +2=4. [Kappur 19761

1 Answer(s) Answer Now
  • 0 Likes
  • 1 Comments
  • 0 Shares
whatsapp-btn

Do You Want Better RANK in Your Exam?

Start Your Preparations with Eduncle’s FREE Study Material

  • Updated Syllabus, Paper Pattern & Full Exam Details
  • Sample Theory of Most Important Topic
  • Model Test Paper with Detailed Solutions
  • Last 5 Years Question Papers & Answers