Time management is very much important in IIT JAM. The eduncle test series for IIT JAM Mathematical Statistics helped me a lot in this portion. I am very thankful to the test series I bought from eduncle.
Nilanjan Bhowmick AIR 3, CSIR NET (Earth Science)
>

>


Ravi prakash yadav
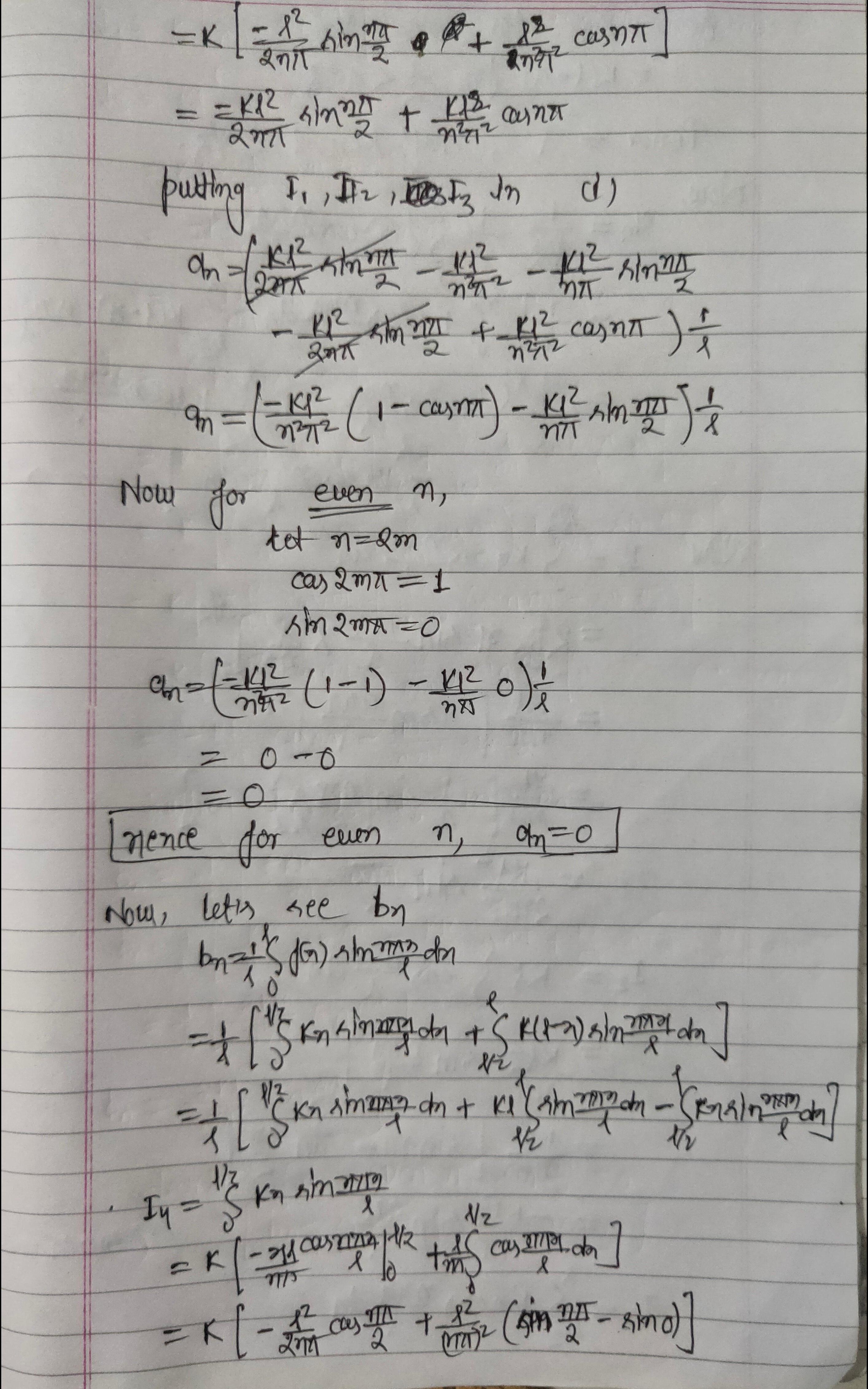
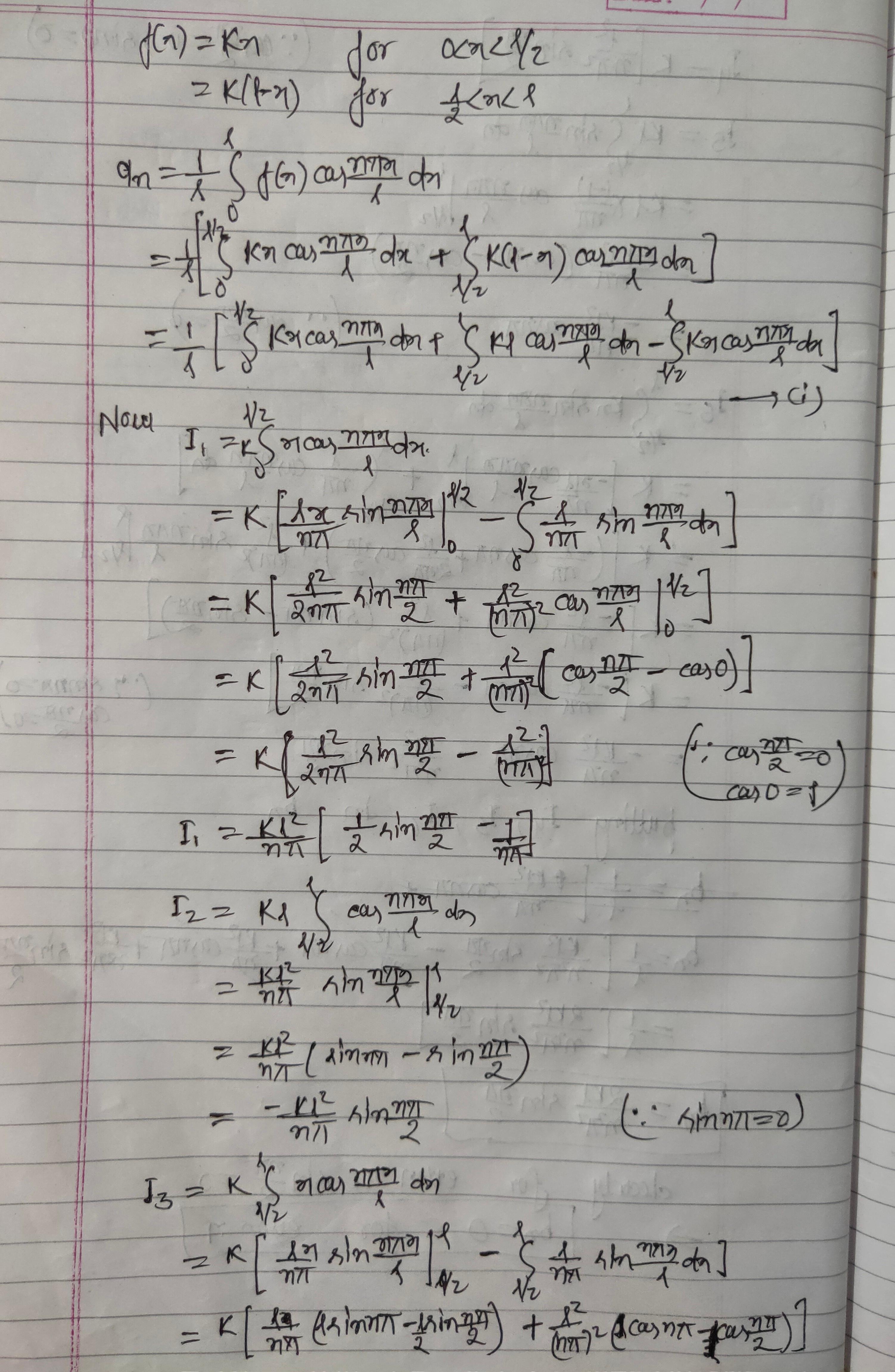
B and D are the correct answers,see the attachment, integration is little bit messy so try yourself once for better understanding