Ankur posted an Question
December 26, 2020 • 13:14 pm 30 points
  • IIT JAM
  • Mathematics (MA)

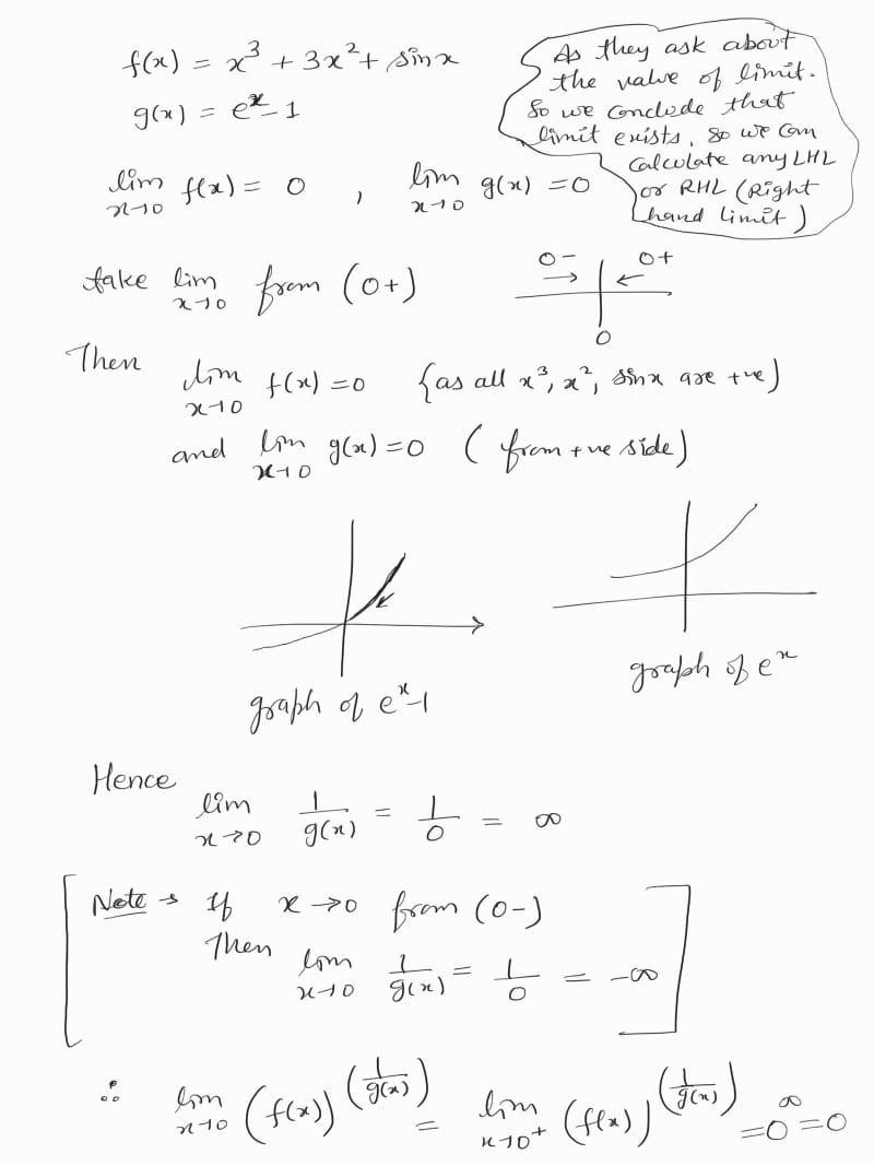
18. if f(x) = x+ 3x2 + sin(x) and g(x) = e- 1 than the value of lim. f(x) o)

18. If f(x) = x+ 3x2 + sin(x) and g(x) = e- 1 than the value of lim. f(x) o)

1 Answer(s) Answer Now
  • 1 Likes
  • 1 Comments
  • 0 Shares
whatsapp-btn

Do You Want Better RANK in Your Exam?

Start Your Preparations with Eduncle’s FREE Study Material

  • Updated Syllabus, Paper Pattern & Full Exam Details
  • Sample Theory of Most Important Topic
  • Model Test Paper with Detailed Solutions
  • Last 5 Years Question Papers & Answers