Time management is very much important in IIT JAM. The eduncle test series for IIT JAM Mathematical Statistics helped me a lot in this portion. I am very thankful to the test series I bought from eduncle.
Nilanjan Bhowmick AIR 3, CSIR NET (Earth Science)


Anonymous User Best Answer
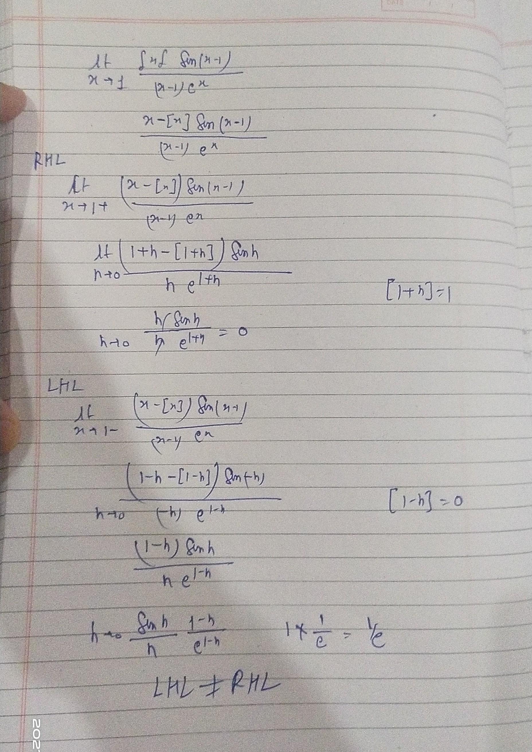
check attachment 19
it becomes infinity/0 form when I put x=0 in step 3rd. The l'hopital rule can be applied in 0/0 and infinity/infinity form.
infinite x infite form
but l hopitals rule can be applied when 0/0 and infinity/infinity forms arrived.
check 19
please tell the q.no.18 also.