Ashwini posted an Question
January 19, 2021 • 12:58 pm 30 points
  • IIT JAM
  • Mathematics (MA)

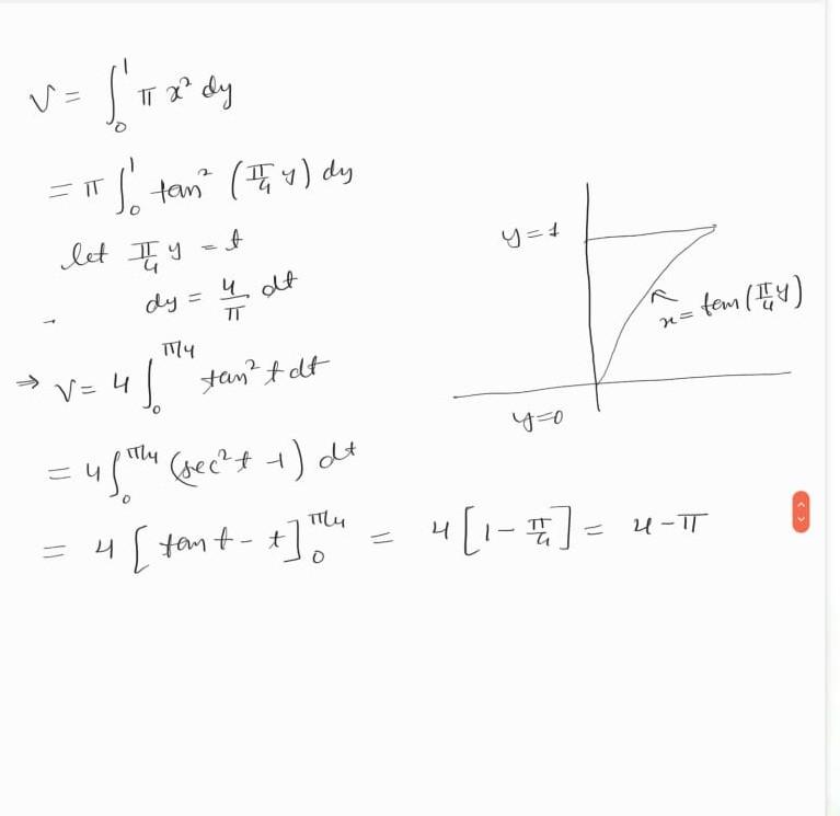
19.find the volume by the disk method about the y-axis

19. About the y-axis 1 x = tan 0/ X ovlovs ... .. ..

1 Answer(s) Answer Now
  • 0 Likes
  • 1 Comments
  • 0 Shares
whatsapp-btn

Do You Want Better RANK in Your Exam?

Start Your Preparations with Eduncle’s FREE Study Material

  • Updated Syllabus, Paper Pattern & Full Exam Details
  • Sample Theory of Most Important Topic
  • Model Test Paper with Detailed Solutions
  • Last 5 Years Question Papers & Answers