Time management is very much important in IIT JAM. The eduncle test series for IIT JAM Mathematical Statistics helped me a lot in this portion. I am very thankful to the test series I bought from eduncle.
Nilanjan Bhowmick AIR 3, CSIR NET (Earth Science)
>


Anshum Sharma
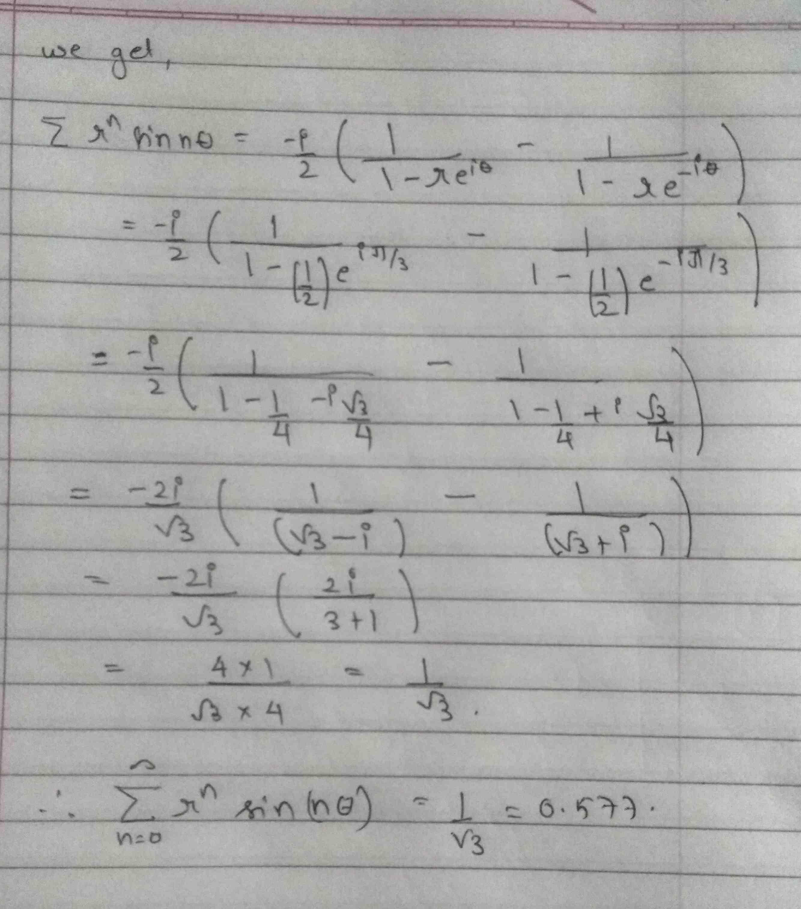
Here is the detailed solution. used Euler's formula to convert the given question into Sum of infinite GP with common ratio . then solved it further to get the answer.