Time management is very much important in IIT JAM. The eduncle test series for IIT JAM Mathematical Statistics helped me a lot in this portion. I am very thankful to the test series I bought from eduncle.
Nilanjan Bhowmick AIR 3, CSIR NET (Earth Science)
>


Jagat Chaudhary Best Answer
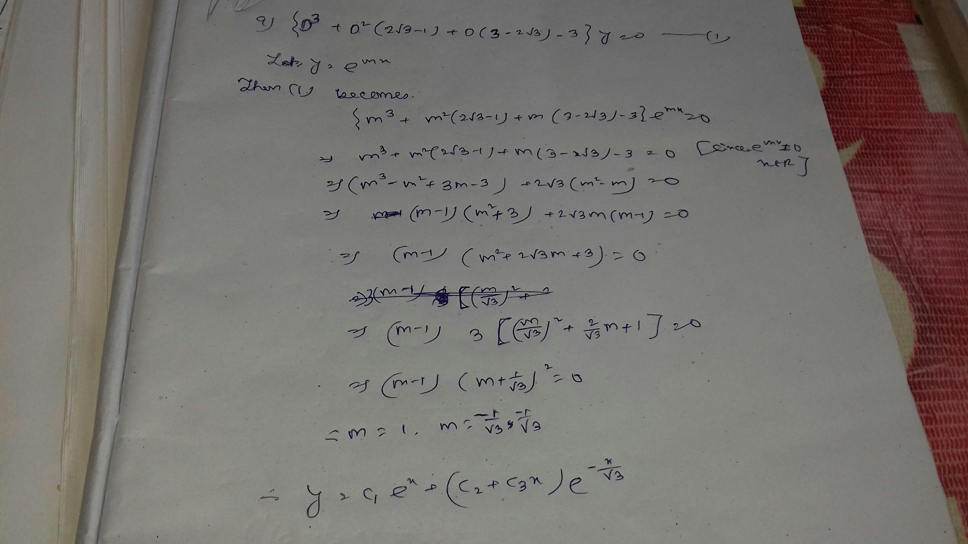
check image for complete step by step solution. And my solution is correct but your provided solution is wrong.
sir Idont understand please can you solve in step by step
which part? please mention