profile-img
Tridip Bhuyan posted an Question
July 06, 2021 • 03:51 am 30 points
  • IIT JAM
  • Mathematics (MA)

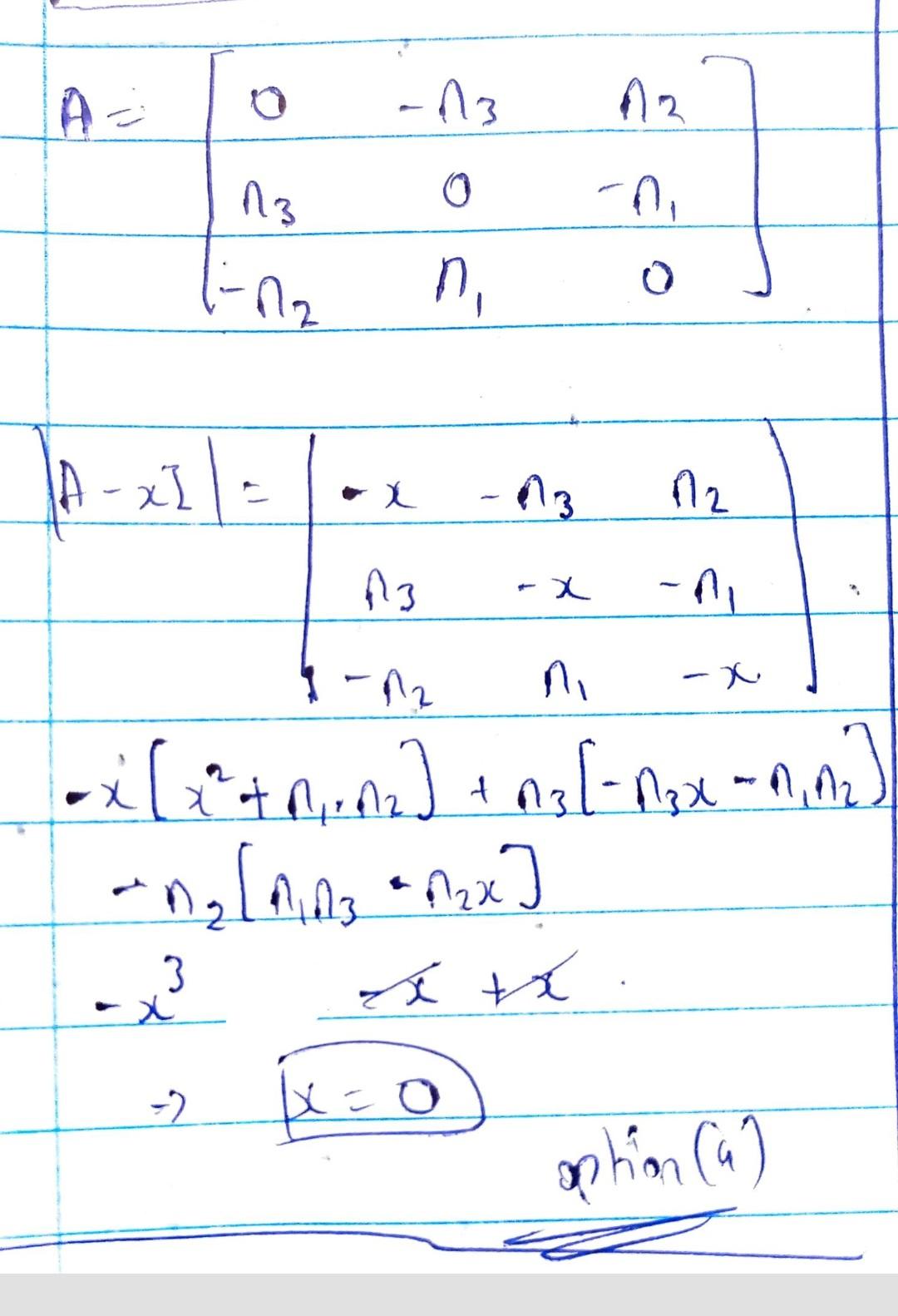
2 16) the eigen values of matrix a =| a 0- where n, n2, ns are components of unit 2 vector a) b) c) d) 1+1 1-

2 16) The eigen values of matrix A =| a 0- where n, n2, ns are components of unit 2 vector a) b) C) d) 1+1 1-

1 Answer(s) Answer Now
  • 0 Likes
  • 1 Comments
  • 0 Shares
whatsapp-btn

Do You Want Better RANK in Your Exam?

Start Your Preparations with Eduncle’s FREE Study Material

  • Updated Syllabus, Paper Pattern & Full Exam Details
  • Sample Theory of Most Important Topic
  • Model Test Paper with Detailed Solutions
  • Last 5 Years Question Papers & Answers