Time management is very much important in IIT JAM. The eduncle test series for IIT JAM Mathematical Statistics helped me a lot in this portion. I am very thankful to the test series I bought from eduncle.
Nilanjan Bhowmick AIR 3, CSIR NET (Earth Science)
>


Satpal singh
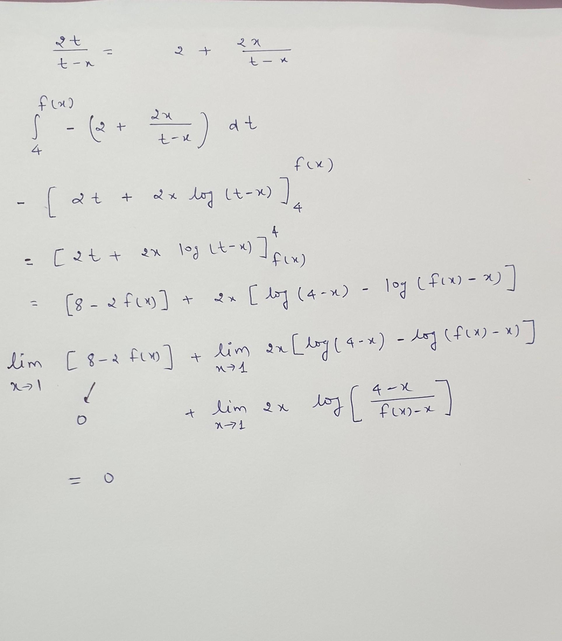
i think the question is incomplete. according to your question see the attachment bcoz option work only for 0/0 form but there is no form is present in the question
i also think that it is incomplete questions or options.. thank you for ur response 🙏