Time management is very much important in IIT JAM. The eduncle test series for IIT JAM Mathematical Statistics helped me a lot in this portion. I am very thankful to the test series I bought from eduncle.
Nilanjan Bhowmick AIR 3, CSIR NET (Earth Science)
>

>


Suman Kumar
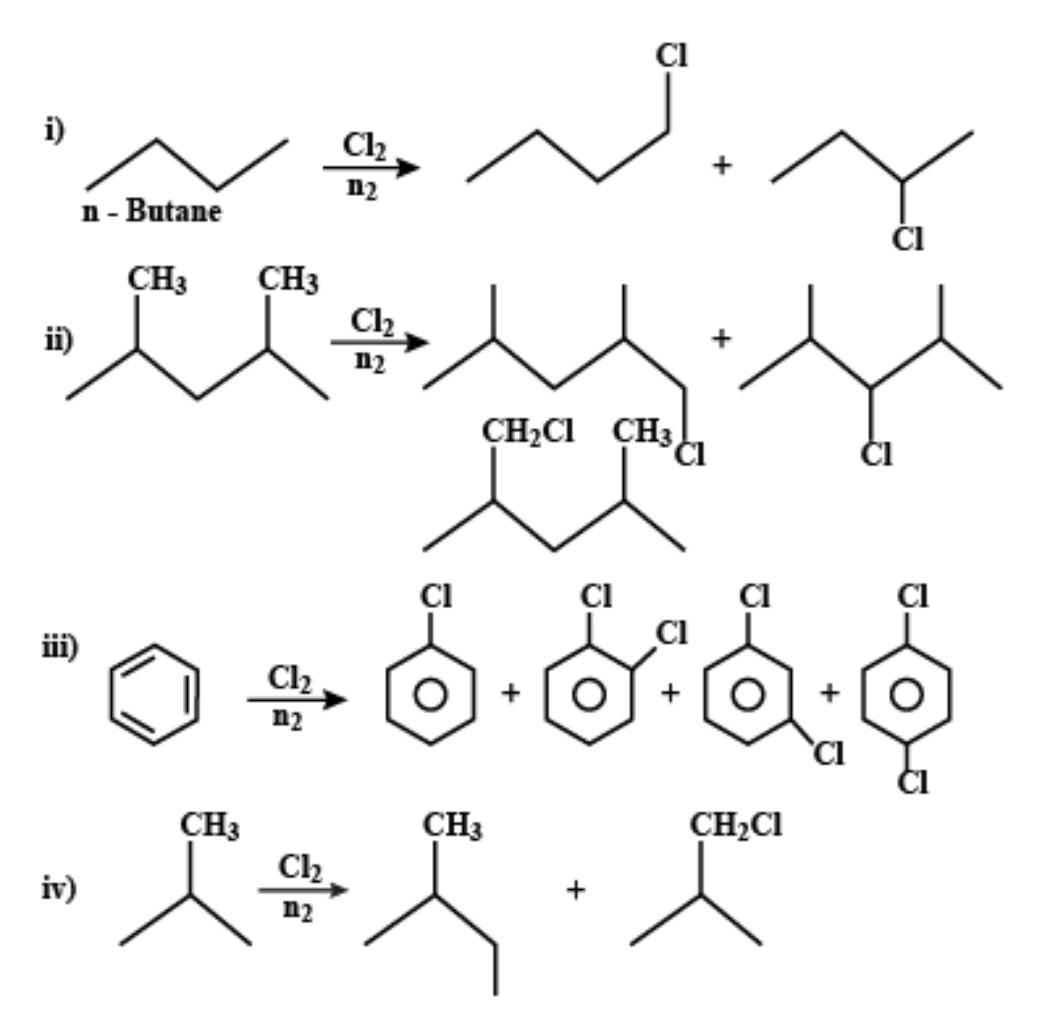
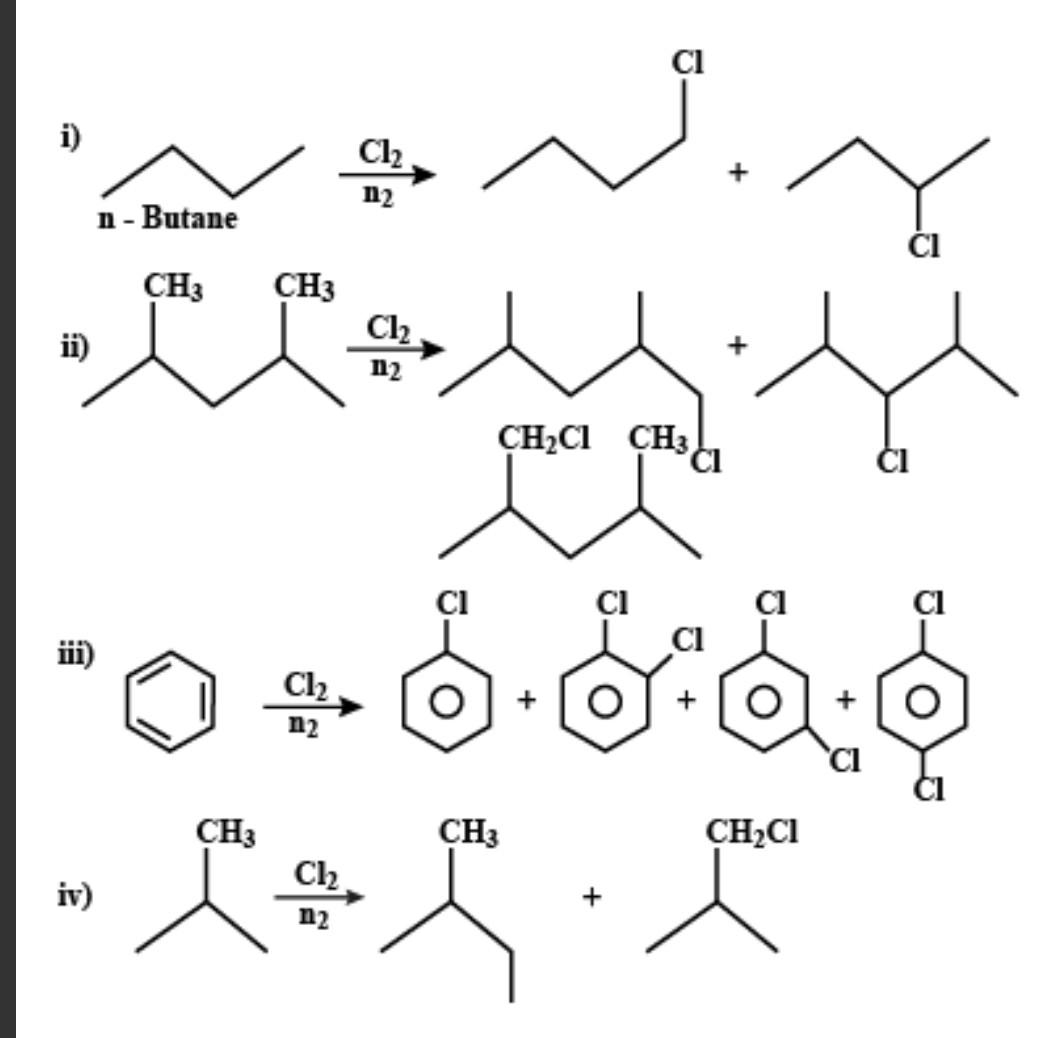
https://doubtnut.com/question-answer-chemistry/only-two-isomeric-monochloro-derivatives-are-possible-for-11075400