Time management is very much important in IIT JAM. The eduncle test series for IIT JAM Mathematical Statistics helped me a lot in this portion. I am very thankful to the test series I bought from eduncle.
Nilanjan Bhowmick AIR 3, CSIR NET (Earth Science)


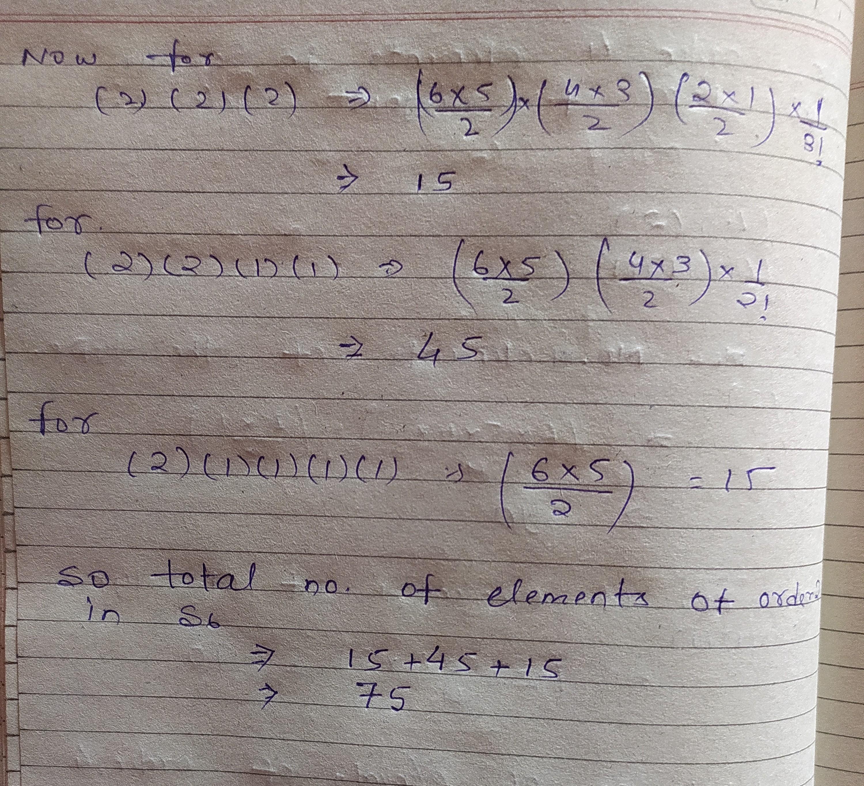
Abhishek tripathi 1 Best Answer
see..
sir which formula did you use?
there are two methods 1st- by formula which I send in image , 2nd- by making possibility ,to know second method you can prefer gallian