Shivani Keshri posted an Question
November 14, 2021 • 22:04 pm 30 points
  • IIT JAM
  • Mathematics (MA)

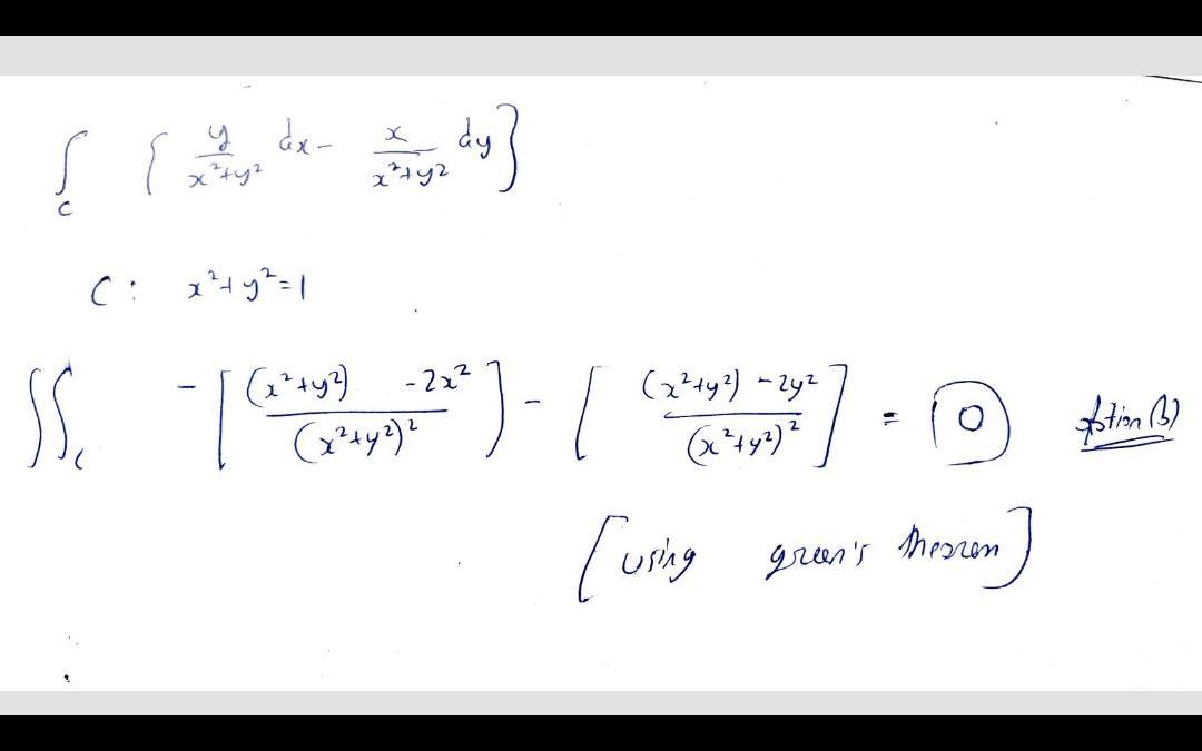
25. the line integral of je y dx-- which, c is the unit circle arount the origin traversed one in the counter-clockwise direction, is (a) -27t (b) zeroo (c) 27

25. The line integral of Je y dx-- which, C is the unit circle arount the origin traversed one in the counter-clockwise direction, is (a) -27t (b) zeroo (c) 27 (d) t

1 Answer(s) Answer Now
  • 0 Likes
  • 1 Comments
  • 0 Shares
whatsapp-btn

Do You Want Better RANK in Your Exam?

Start Your Preparations with Eduncle’s FREE Study Material

  • Updated Syllabus, Paper Pattern & Full Exam Details
  • Sample Theory of Most Important Topic
  • Model Test Paper with Detailed Solutions
  • Last 5 Years Question Papers & Answers