Time management is very much important in IIT JAM. The eduncle test series for IIT JAM Mathematical Statistics helped me a lot in this portion. I am very thankful to the test series I bought from eduncle.
Nilanjan Bhowmick AIR 3, CSIR NET (Earth Science)
>


Bidyut sinha
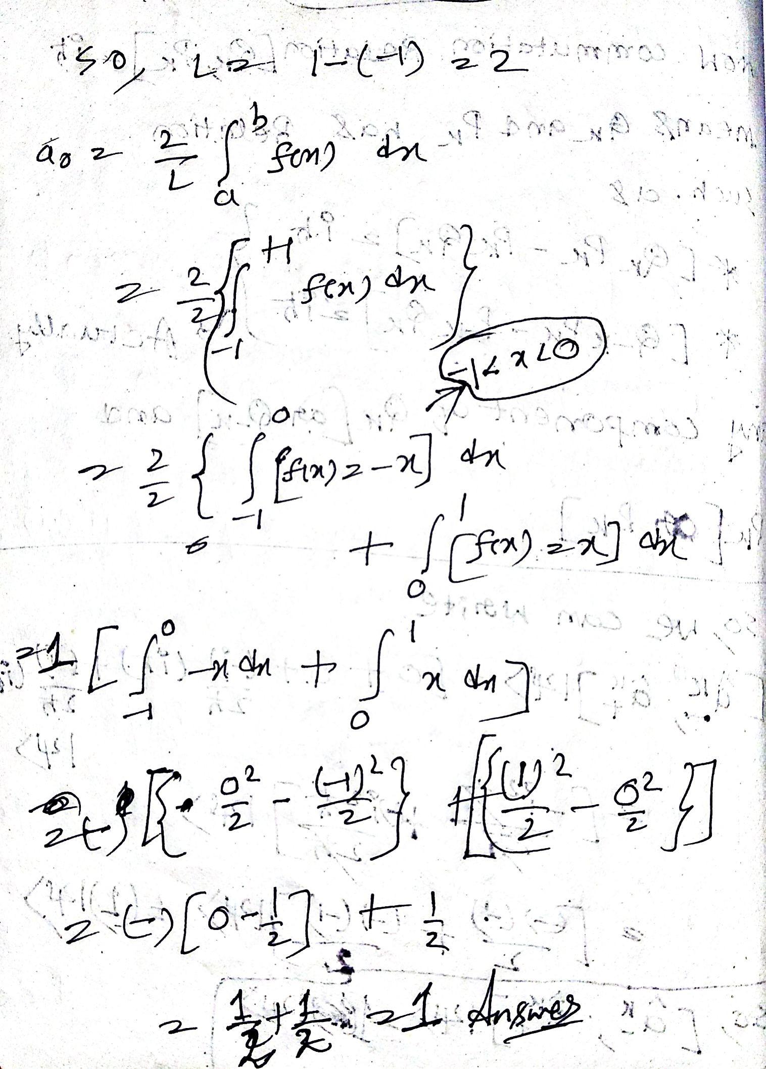
Please see attached pictures. In the second picture, I have written about the period of the function..As the function starts decreasing from x=(-)1 to x=+1, and again from x=+1, starts decreasing, so the interval 1-(-1)=2 is the period of the function f(x)