Nandani posted an Question
February 23, 2022 • 03:41 am 30 points
  • IIT JAM
  • Mathematics (MA)

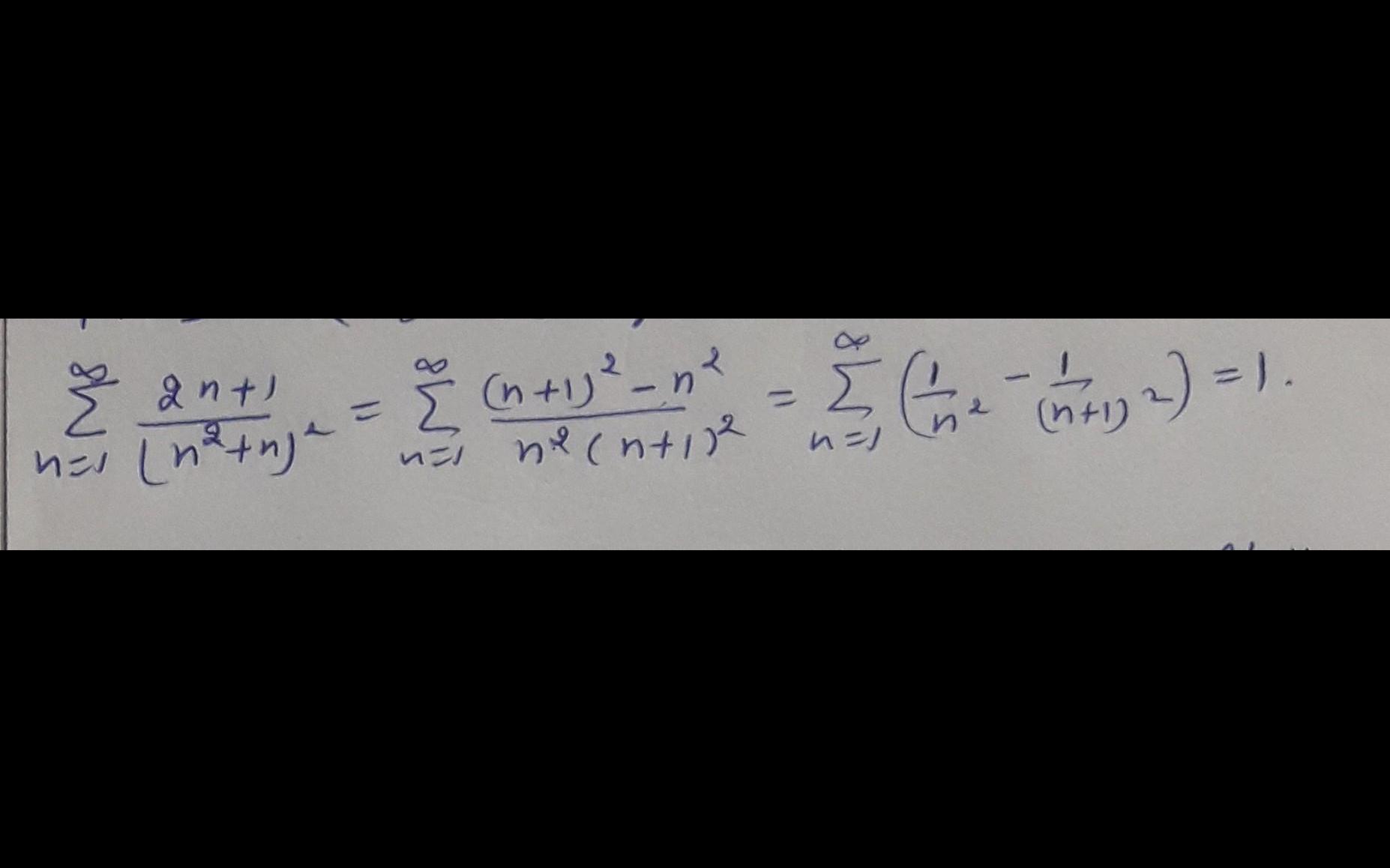
2n+1 4. the series n=1 (n+n} a converges to 1 (b) converges to a number> 1 (c) diverges to o (d) has an oscillating sequences of partial sums

2n+1 4. The series n=1 (n+n} a converges to 1 (b) converges to a number> 1 (c) diverges to o (d) has an oscillating sequences of partial sums

1 Answer(s) Answer Now
  • 0 Likes
  • 1 Comments
  • 0 Shares
whatsapp-btn

Do You Want Better RANK in Your Exam?

Start Your Preparations with Eduncle’s FREE Study Material

  • Updated Syllabus, Paper Pattern & Full Exam Details
  • Sample Theory of Most Important Topic
  • Model Test Paper with Detailed Solutions
  • Last 5 Years Question Papers & Answers