Pradip Guin posted an Question
October 29, 2021 • 01:29 am 5 points
  • IIT JAM
  • Mathematics (MA)

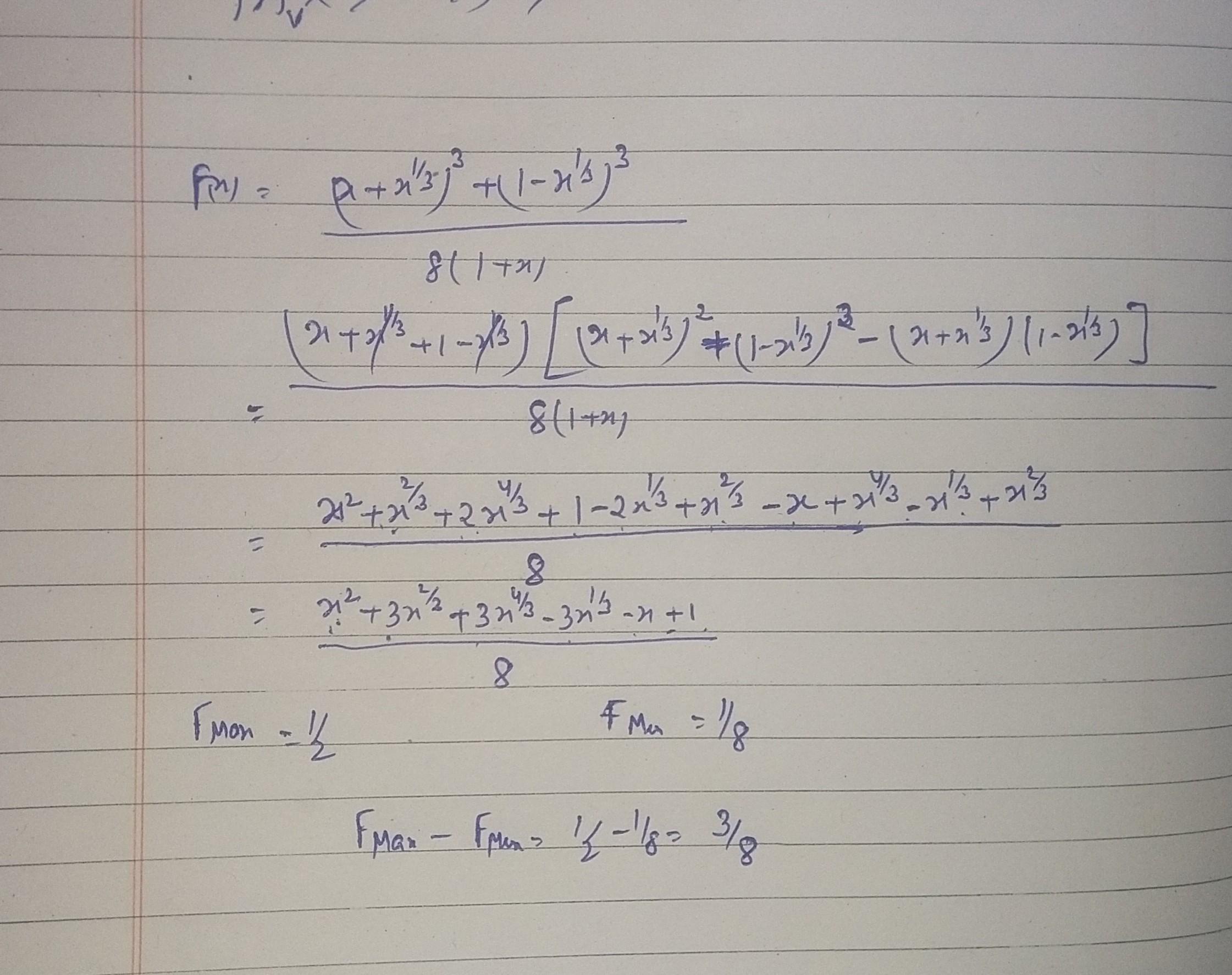
3 3 x+x3 +(1-) let f: [0,1] r be given by f(x) =- 8(1+x) then, max{f(x) : x e [0, 1]} - min{f(x) : x e [0,1]} is

3 3 x+x3 +(1-) Let f: [0,1] R be given by f(x) =- 8(1+X) Then, max{f(x) : x E [0, 1]} - min{f(x) : x e [0,1]} is

1 Answer(s) Answer Now
  • 0 Likes
  • 1 Comments
  • 0 Shares
whatsapp-btn

Do You Want Better RANK in Your Exam?

Start Your Preparations with Eduncle’s FREE Study Material

  • Updated Syllabus, Paper Pattern & Full Exam Details
  • Sample Theory of Most Important Topic
  • Model Test Paper with Detailed Solutions
  • Last 5 Years Question Papers & Answers