Time management is very much important in IIT JAM. The eduncle test series for IIT JAM Mathematical Statistics helped me a lot in this portion. I am very thankful to the test series I bought from eduncle.
Nilanjan Bhowmick AIR 3, CSIR NET (Earth Science)


Animesh anand
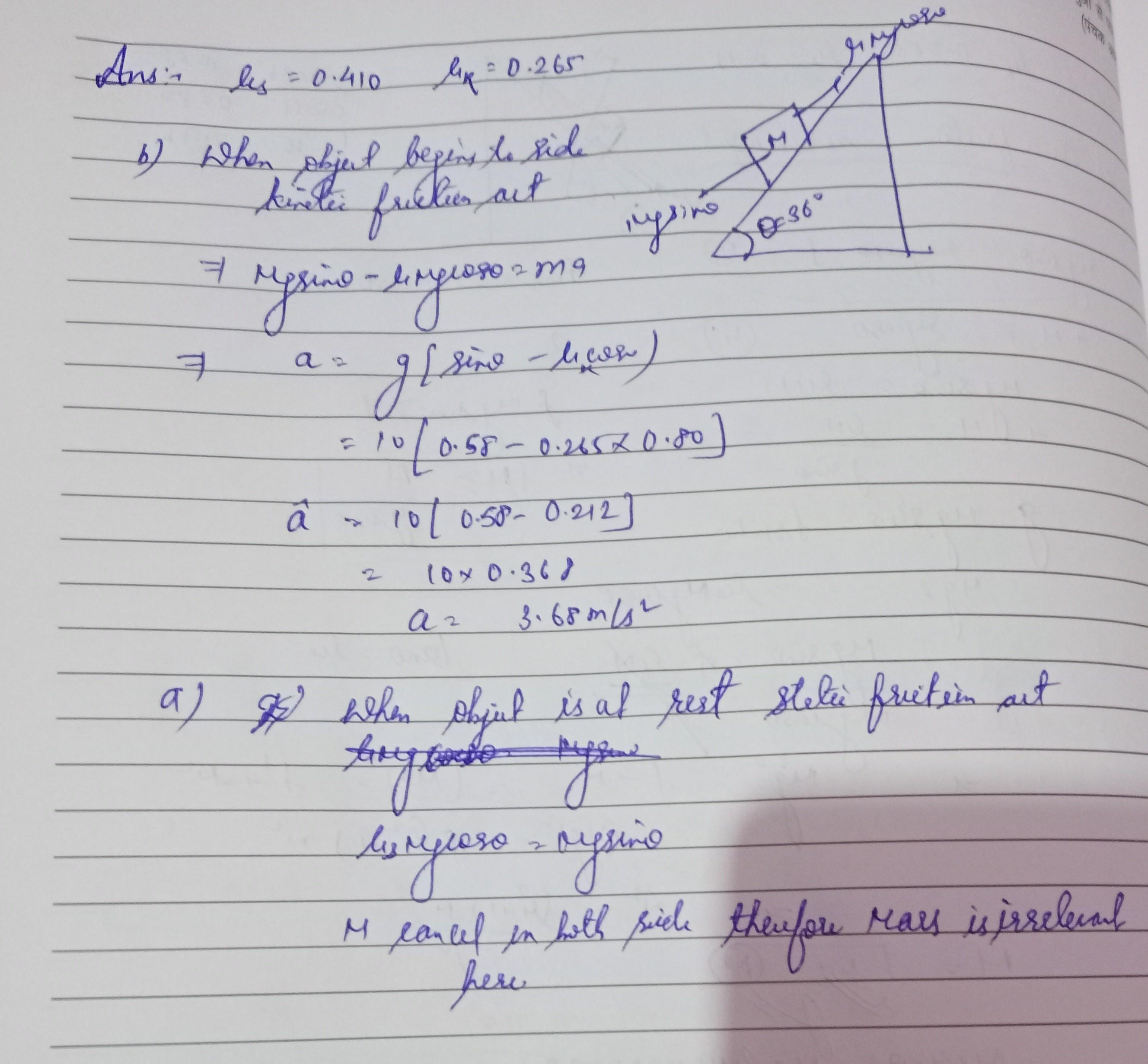
kindly find your answer attached below
pehle part b hi solve kiya
mass is cancel there also
accept this answer