Time management is very much important in IIT JAM. The eduncle test series for IIT JAM Mathematical Statistics helped me a lot in this portion. I am very thankful to the test series I bought from eduncle.
Nilanjan Bhowmick AIR 3, CSIR NET (Earth Science)


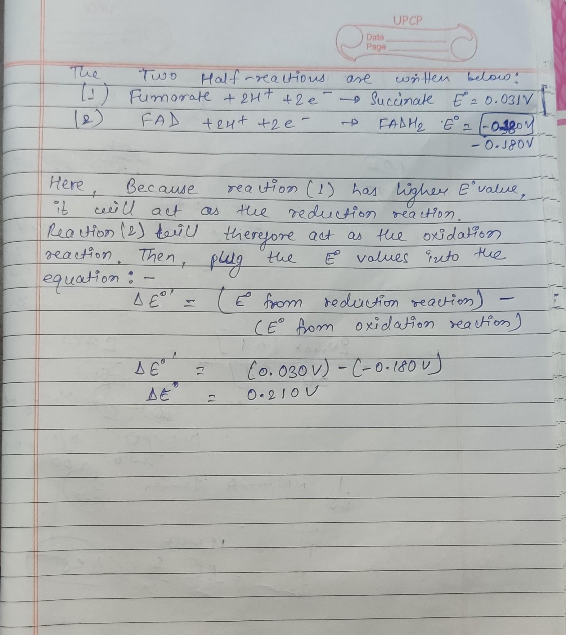
Abhijeet Gaurav Best Answer
Answer is (B) & (D) As in the Real equation of Citric acid cycle, Fumarate converts to Succinate with the utilization of FADH2. Both solutions are given below :