Antima Jangid posted an Question
December 15, 2021 • 18:57 pm 30 points
  • IIT JAM
  • Mathematics (MA)

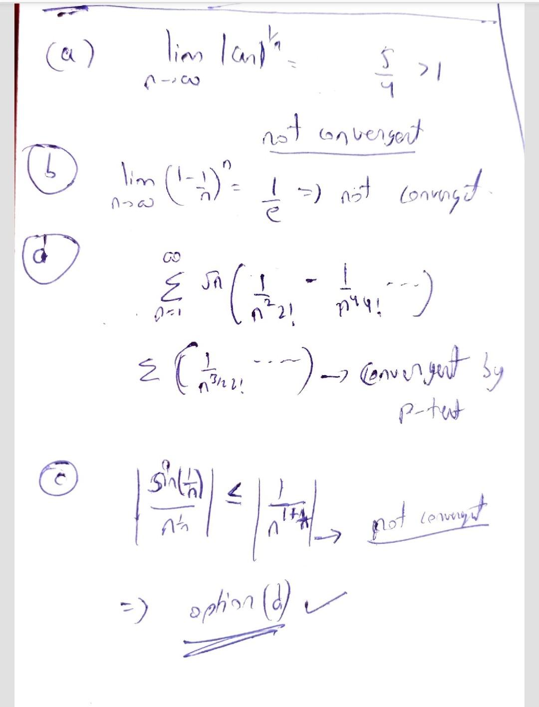
3. which one of the following series is convergent? 3. (5n+1 (a) 4n+1) n (b)1 n=l sin (c) nnovative ln n1-cos n=l (iit-jam ma 2020)

3. Which one of the following series is convergent? 3. (5n+1 (a) 4n+1) n (b)1 n=l sin (c) nnovative ln n1-cos n=l (IIT-JAM MA 2020)

1 Answer(s) Answer Now
  • 0 Likes
  • 1 Comments
  • 0 Shares
whatsapp-btn

Do You Want Better RANK in Your Exam?

Start Your Preparations with Eduncle’s FREE Study Material

  • Updated Syllabus, Paper Pattern & Full Exam Details
  • Sample Theory of Most Important Topic
  • Model Test Paper with Detailed Solutions
  • Last 5 Years Question Papers & Answers