Time management is very much important in IIT JAM. The eduncle test series for IIT JAM Mathematical Statistics helped me a lot in this portion. I am very thankful to the test series I bought from eduncle.
Nilanjan Bhowmick AIR 3, CSIR NET (Earth Science)
>

>


Ruby negi Best Answer
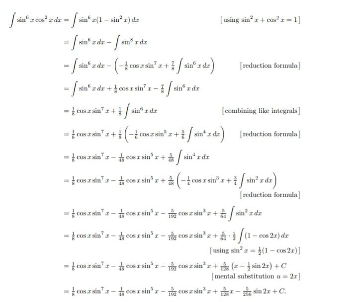
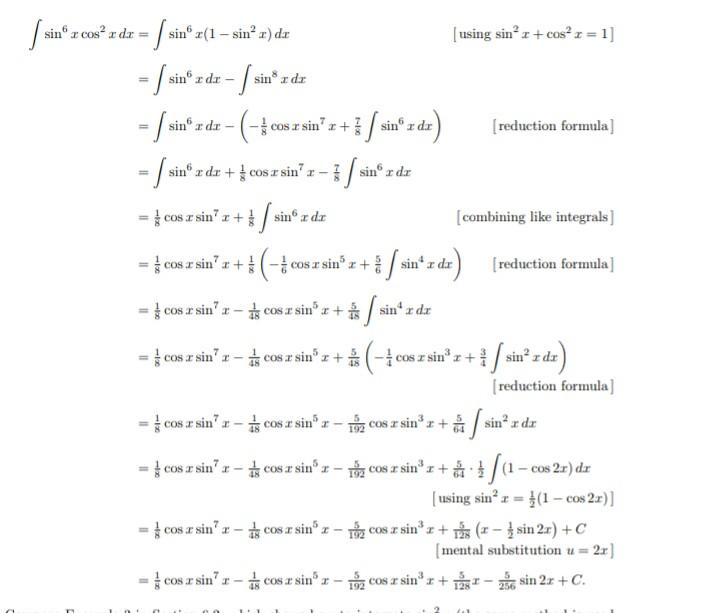
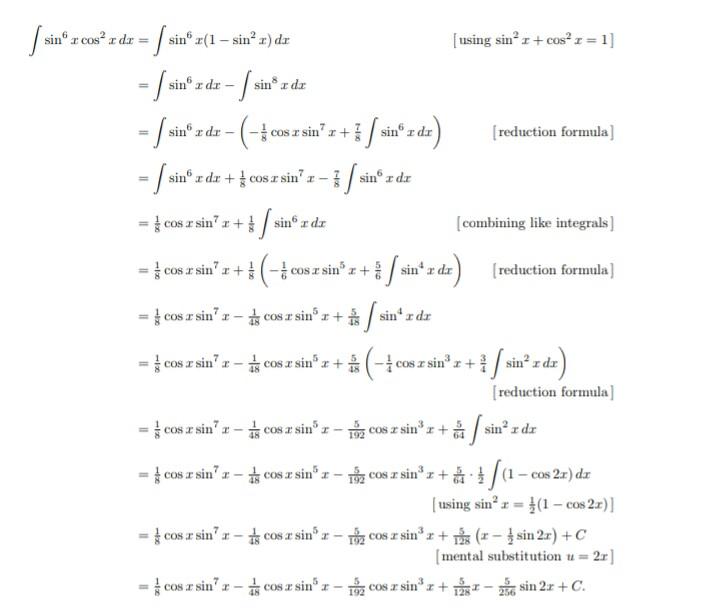
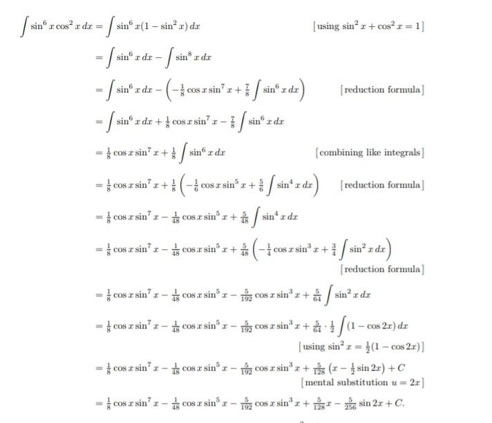
i attached a complete solution.. hope each step will clear to you .. I also attached a intergration of (sinx)^6* (cosx)^2, in last line of this page, when you put limit, you will get the ans of integration.. feel free to ask any doubt . best regards