Time management is very much important in IIT JAM. The eduncle test series for IIT JAM Mathematical Statistics helped me a lot in this portion. I am very thankful to the test series I bought from eduncle.
Nilanjan Bhowmick AIR 3, CSIR NET (Earth Science)
>


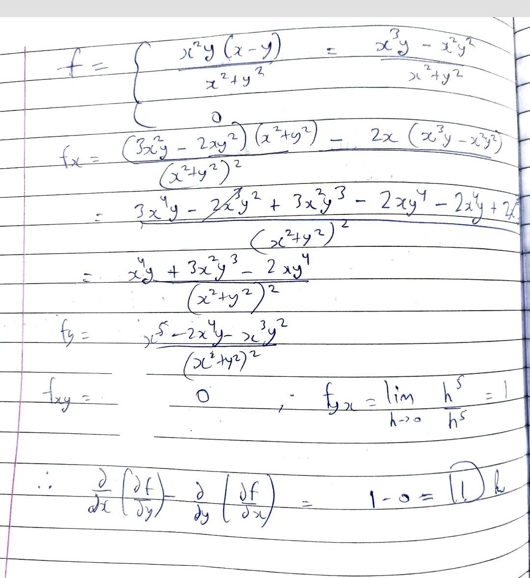
Deepak singh 1 Best Answer
Refer attachment
sir can u please explain how did you find the finite value of fxy and fyx
by formula of fxy(0,0)
sir , please can you solve completely for the values of fxy and fyx because I m not able to get these values
yes wait..
Reter attachment
thanks a lot sir