profile-img
Prerna Chaudhary posted an Question
October 16, 2021 • 23:12 pm 30 points
  • IIT JAM
  • Mathematics (MA)

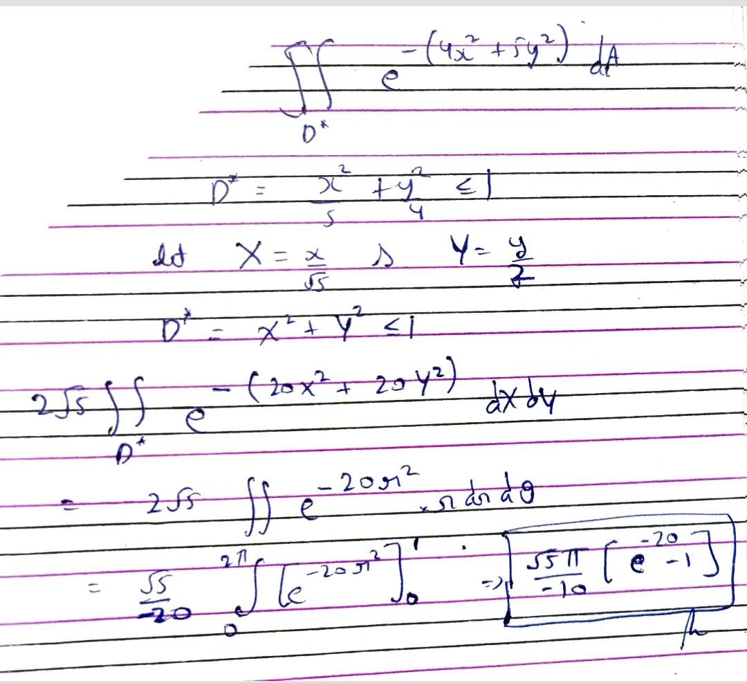
45. evaluate e -(4x2+5y2)a da d where d is the elliptical disk + 5 4

45. Evaluate e -(4x2+5y2)a dA D where D is the elliptical disk + 5 4

1 Answer(s) Answer Now
  • 0 Likes
  • 1 Comments
  • 0 Shares
whatsapp-btn

Do You Want Better RANK in Your Exam?

Start Your Preparations with Eduncle’s FREE Study Material

  • Updated Syllabus, Paper Pattern & Full Exam Details
  • Sample Theory of Most Important Topic
  • Model Test Paper with Detailed Solutions
  • Last 5 Years Question Papers & Answers