Time management is very much important in IIT JAM. The eduncle test series for IIT JAM Mathematical Statistics helped me a lot in this portion. I am very thankful to the test series I bought from eduncle.
Nilanjan Bhowmick AIR 3, CSIR NET (Earth Science)


Suman Kumar Best Answer
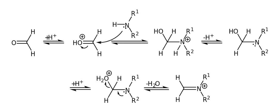
option B is correct. mannich reaction
yes....how ?
see
ortho q ni ho skta sir ?
steric inhibition