profile-img
Bidisha Shit posted an Question
January 06, 2021 • 06:16 am 30 points
  • IIT JAM
  • Mathematics (MA)

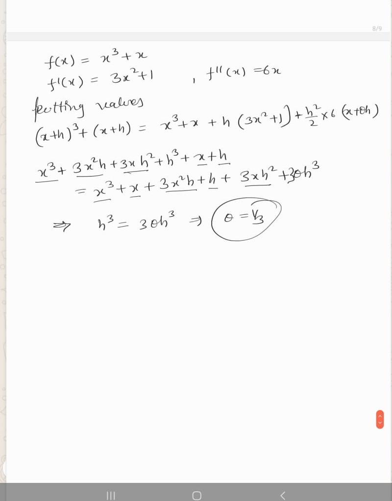
46. if f(x+h) = f(x) +hf' (x) + h2 f" (x+0h) wheref(x) = x +x. then 0 is

46. If f(x+h) = f(x) +hf' (x) + h2 f" (x+0h) wheref(x) = x +X. Then 0 is

1 Answer(s) Answer Now
  • 0 Likes
  • 1 Comments
  • 0 Shares
whatsapp-btn

Do You Want Better RANK in Your Exam?

Start Your Preparations with Eduncle’s FREE Study Material

  • Updated Syllabus, Paper Pattern & Full Exam Details
  • Sample Theory of Most Important Topic
  • Model Test Paper with Detailed Solutions
  • Last 5 Years Question Papers & Answers