Time management is very much important in IIT JAM. The eduncle test series for IIT JAM Mathematical Statistics helped me a lot in this portion. I am very thankful to the test series I bought from eduncle.
Nilanjan Bhowmick AIR 3, CSIR NET (Earth Science)
>


Deepak singh 1 Best Answer
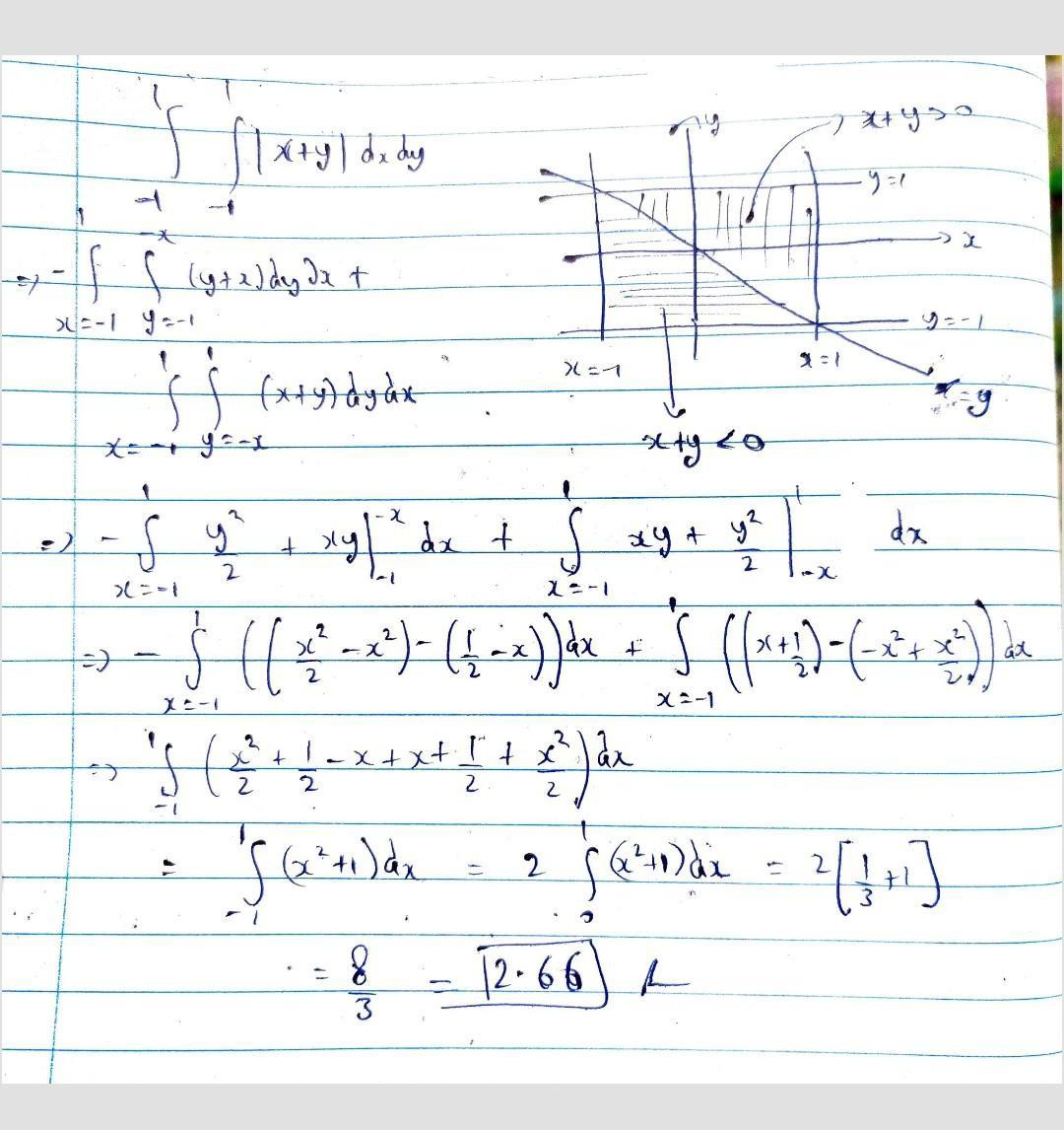
Refer attached
what is wron g here?
here we are in 2D and you have taken only 1 &3 quadrant .
take all cases like all quadrant
sir, we never draw f(x,y) when solving a double integral, why you drew it?
??
here f(x,y) depends on limits , so here we drew
how it depends on limits?