Time management is very much important in IIT JAM. The eduncle test series for IIT JAM Mathematical Statistics helped me a lot in this portion. I am very thankful to the test series I bought from eduncle.
Nilanjan Bhowmick AIR 3, CSIR NET (Earth Science)
>



Anshum Sharma Best Answer
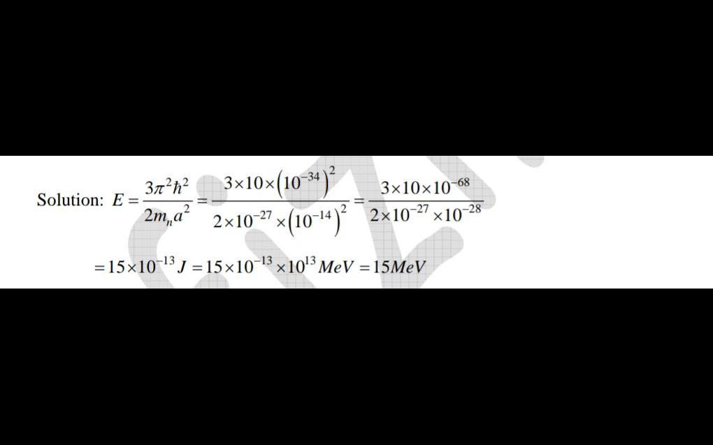
It is given in the question that it is cubical box this means it is 3D box and for that the energy En = (n²x + n²y +n²z )π²h²/2ma² and for ground state nx = ny = nz = 1 that is why it is 3