Time management is very much important in IIT JAM. The eduncle test series for IIT JAM Mathematical Statistics helped me a lot in this portion. I am very thankful to the test series I bought from eduncle.
Nilanjan Bhowmick AIR 3, CSIR NET (Earth Science)


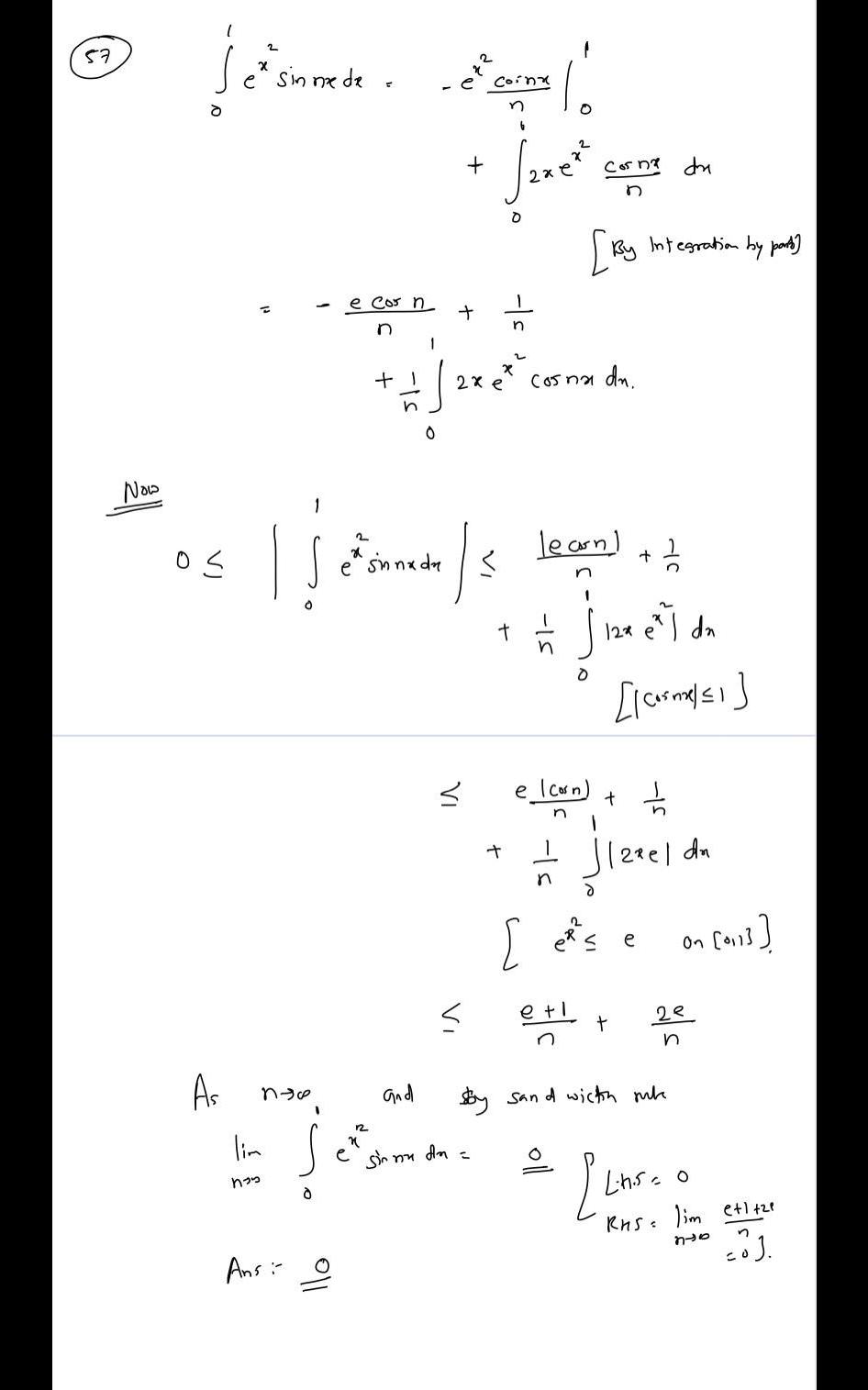
Srj Best Answer
Answer is 0. for explanation please ref attachment
doubt
We can use Cauchy Schwartz inequality for that
please let me know if you have any doubt
sir, can you please write down the statement of Cauchy Schwartz inequality?
please see attached file