Time management is very much important in IIT JAM. The eduncle test series for IIT JAM Mathematical Statistics helped me a lot in this portion. I am very thankful to the test series I bought from eduncle.
Nilanjan Bhowmick AIR 3, CSIR NET (Earth Science)


Isha lohan 1
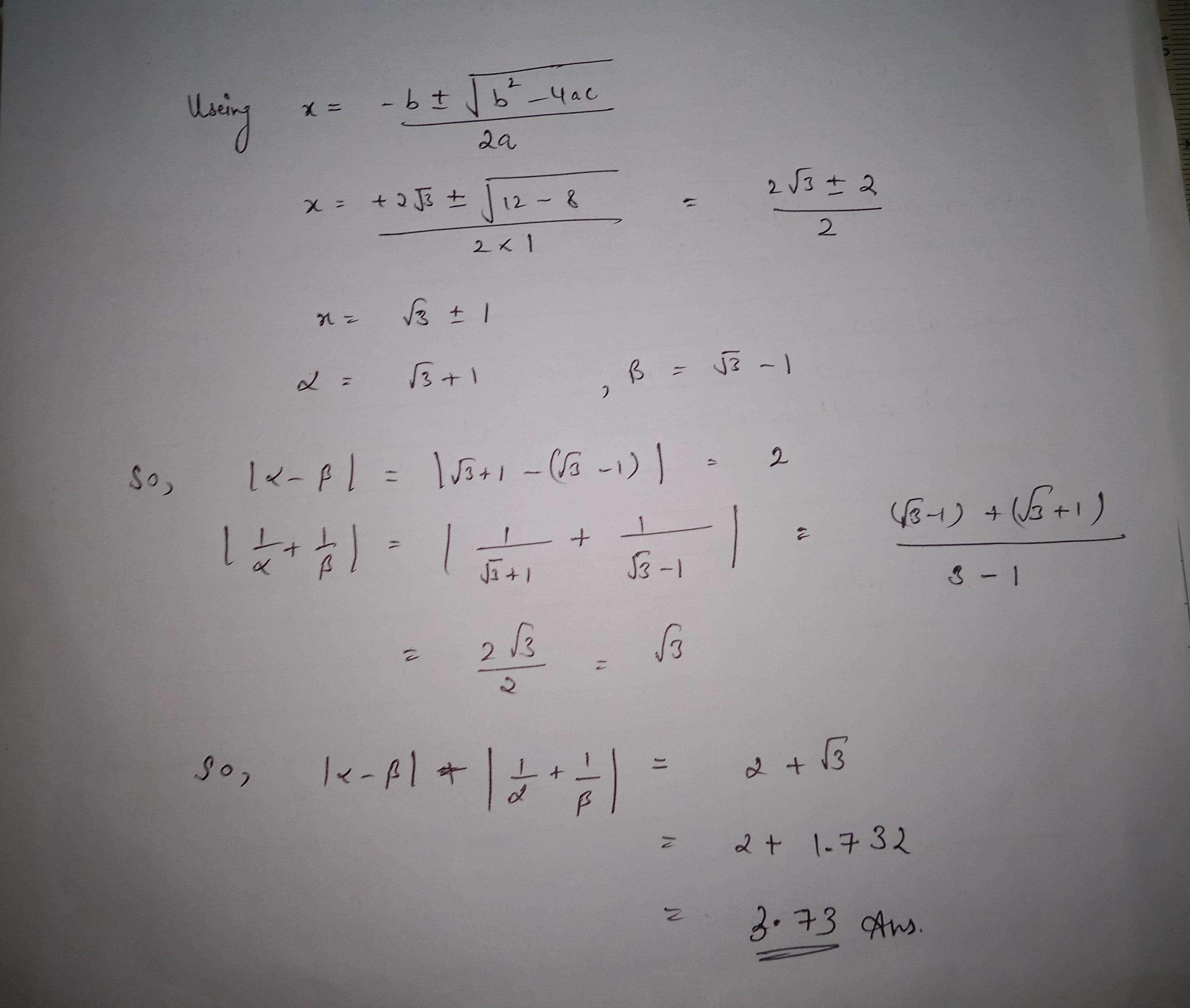
See attached. Ask if any doubt.
plz solve this problem by using value of alpha * beta and alpha+ beta
see. we can find alpha + beta, not alpha - beta. so easy to use is the first method.