Thanu Dharshani posted an Question
November 08, 2021 • 23:53 pm 30 points
  • IIT JAM
  • Mathematics (MA)

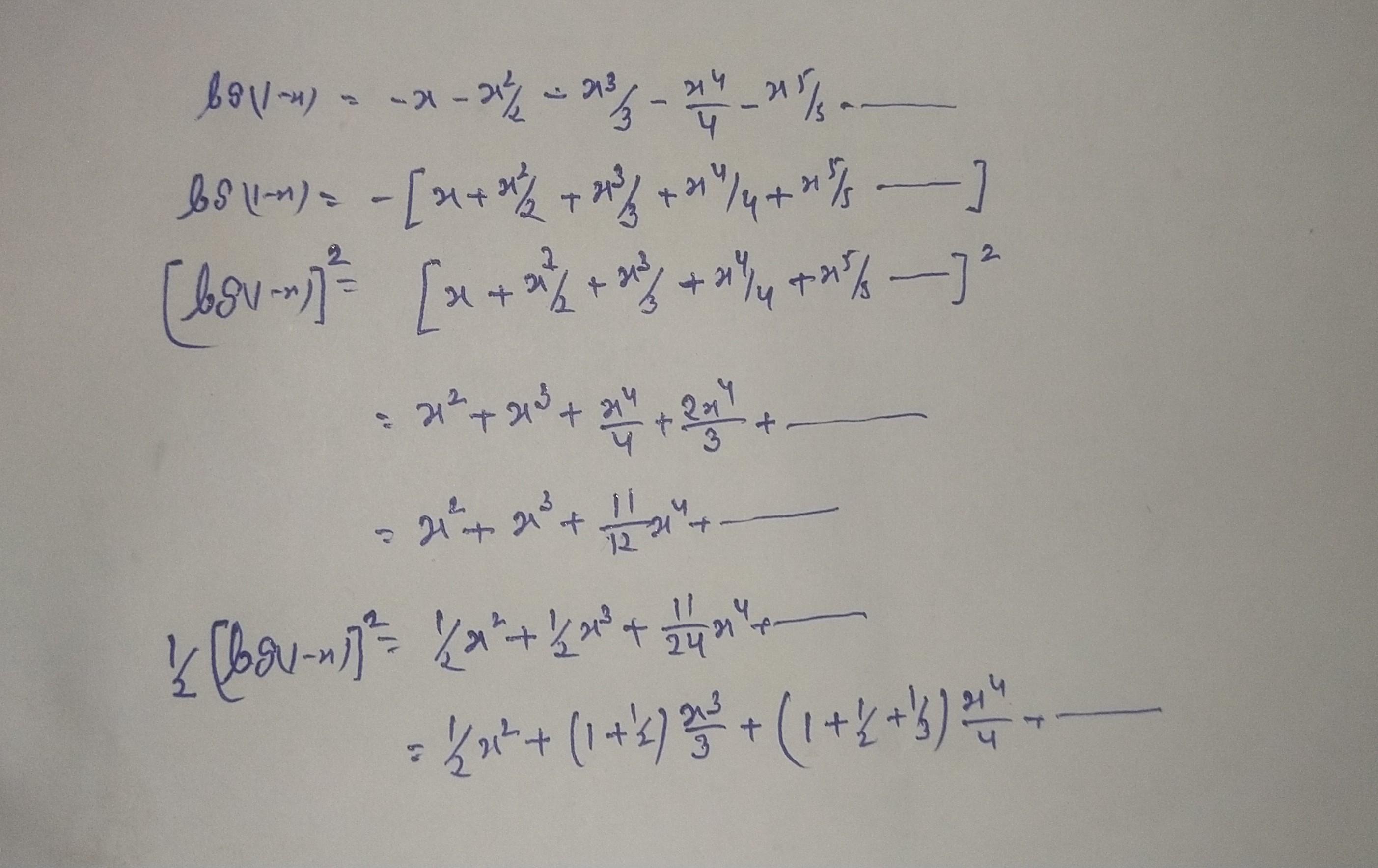
6. prove that [log(1 - z)}' = zz* + (l + )+ (1+ + )+.. for -1 < z 1.

6. Prove that [log(1 - z)}' = zz* + (l + )+ (1+ + )+.. for -1 < z 1.

1 Answer(s) Answer Now
  • 0 Likes
  • 1 Comments
  • 0 Shares
whatsapp-btn

Do You Want Better RANK in Your Exam?

Start Your Preparations with Eduncle’s FREE Study Material

  • Updated Syllabus, Paper Pattern & Full Exam Details
  • Sample Theory of Most Important Topic
  • Model Test Paper with Detailed Solutions
  • Last 5 Years Question Papers & Answers