Time management is very much important in IIT JAM. The eduncle test series for IIT JAM Mathematical Statistics helped me a lot in this portion. I am very thankful to the test series I bought from eduncle.
Nilanjan Bhowmick AIR 3, CSIR NET (Earth Science)
>



Ruby negi
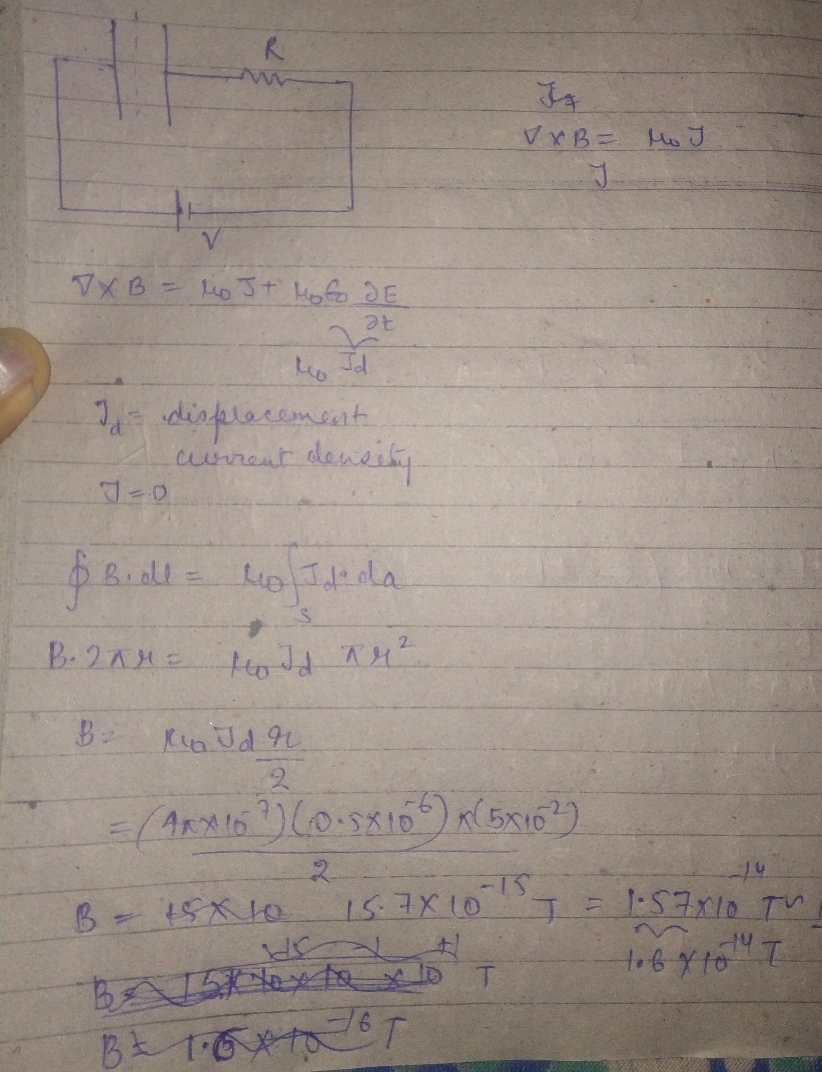
see this question's solution also.
madam i am sorry for late reply 😞.. I forgot to see it.
it's okay dear.