Time management is very much important in IIT JAM. The eduncle test series for IIT JAM Mathematical Statistics helped me a lot in this portion. I am very thankful to the test series I bought from eduncle.
Nilanjan Bhowmick AIR 3, CSIR NET (Earth Science)


Anonymous User
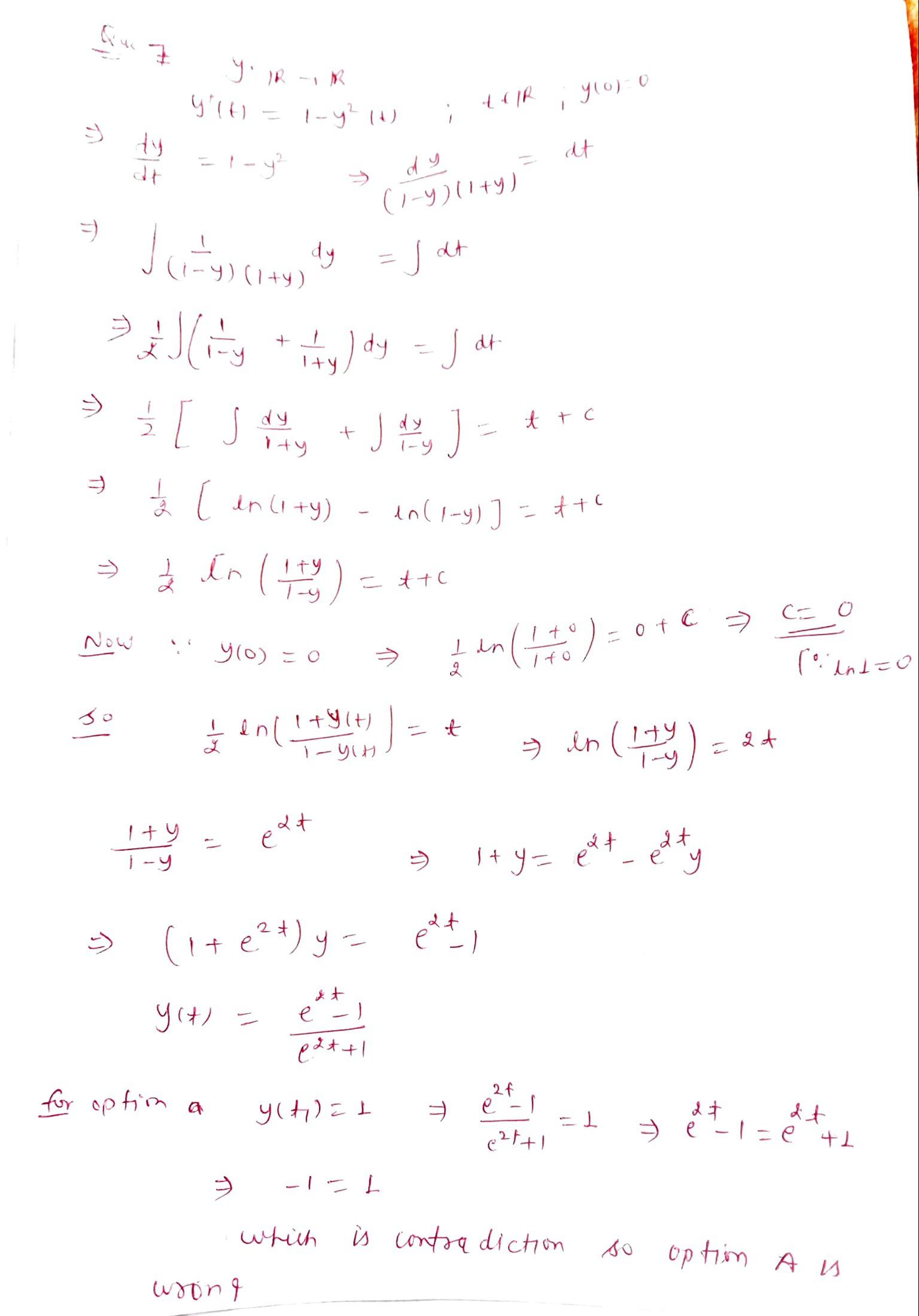
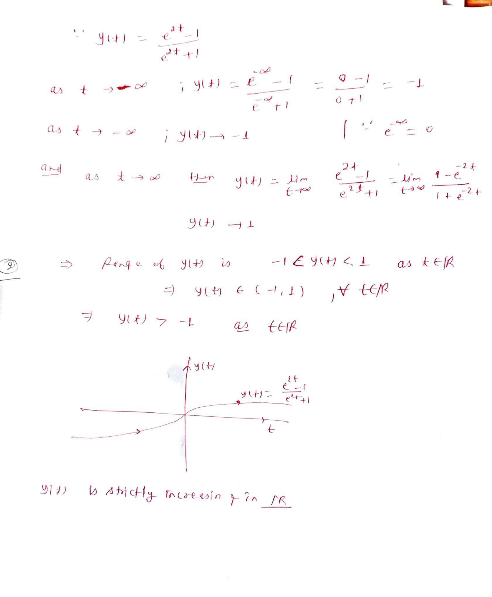
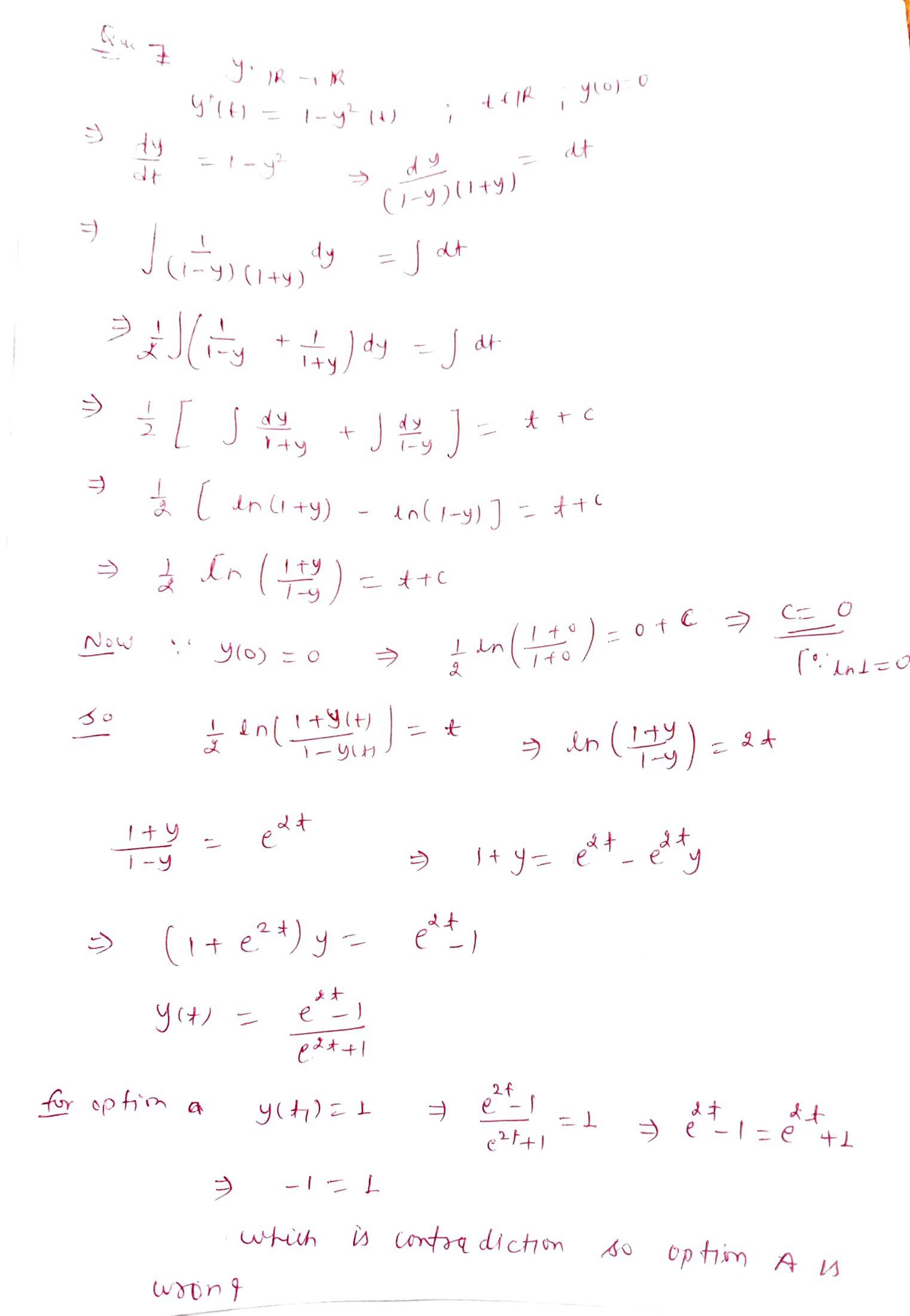
for question 8 if they will intersect then u will get that e^x=0 which is not possible because for any real value e^x is always greater than zero . so no such x exist for which it's value be zero so it is not possible. it means they never intersect .