Jinesh Jain posted an Question
March 29, 2022 • 19:18 pm 30 points
  • IIT JAM
  • Mathematics (MA)

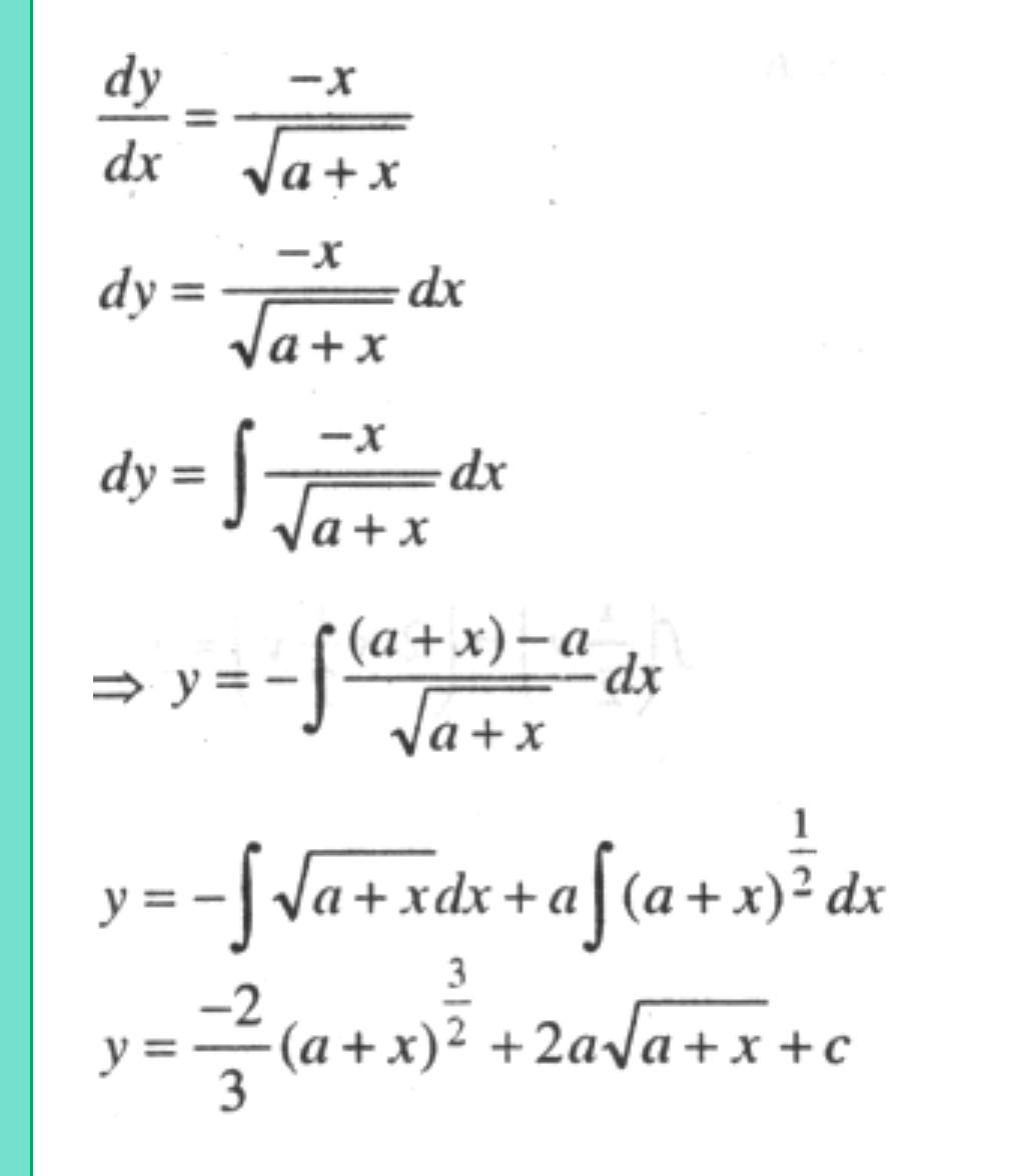
7. (a) va + x) (dy/dx) + x = 0. 121/a 2

7. (a) Va + x) (dy/dx) + x = 0. 121/a 2 equations of first order and first degree

1 Answer(s) Answer Now
  • 0 Likes
  • 1 Comments
  • 0 Shares
whatsapp-btn

Do You Want Better RANK in Your Exam?

Start Your Preparations with Eduncle’s FREE Study Material

  • Updated Syllabus, Paper Pattern & Full Exam Details
  • Sample Theory of Most Important Topic
  • Model Test Paper with Detailed Solutions
  • Last 5 Years Question Papers & Answers