Time management is very much important in IIT JAM. The eduncle test series for IIT JAM Mathematical Statistics helped me a lot in this portion. I am very thankful to the test series I bought from eduncle.
Nilanjan Bhowmick AIR 3, CSIR NET (Earth Science)
>
>



Deepak singh 1 Best Answer
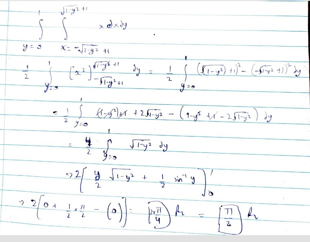
Refer attachment
thank you, Deepak sir.
can I claim with a guarantee that the order of integration was not right in the problem?
yes , because when comparing limits we will not get region .
do you mean we don't get a function after performing integration?
wait.
tell
Refer attached reasons .
doubt
no , 2x^2-2x =0 is a quadratic equation which gives points in real line and a line parallel to y axis in xy plane . here x=0,1 are only lines not region between 0 and 1.
is this method correct??
yes , its correct method ..
I have updated my above reply , please read again.