Time management is very much important in IIT JAM. The eduncle test series for IIT JAM Mathematical Statistics helped me a lot in this portion. I am very thankful to the test series I bought from eduncle.
Nilanjan Bhowmick AIR 3, CSIR NET (Earth Science)


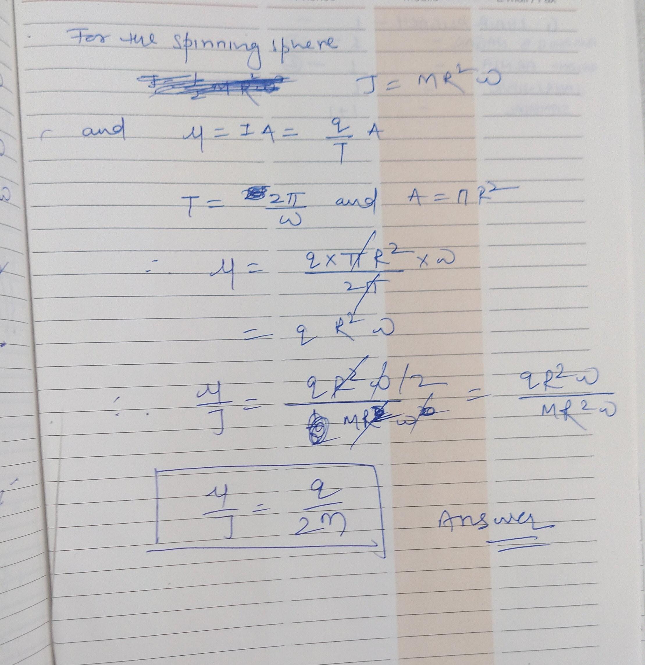
Devisharan Best Answer
Answer option B
why you have taken the area 'pi×r^2'..the surface area of a sphere should be '4×pi×r^2'