Time management is very much important in IIT JAM. The eduncle test series for IIT JAM Mathematical Statistics helped me a lot in this portion. I am very thankful to the test series I bought from eduncle.
Nilanjan Bhowmick AIR 3, CSIR NET (Earth Science)
>


Kiran goswami
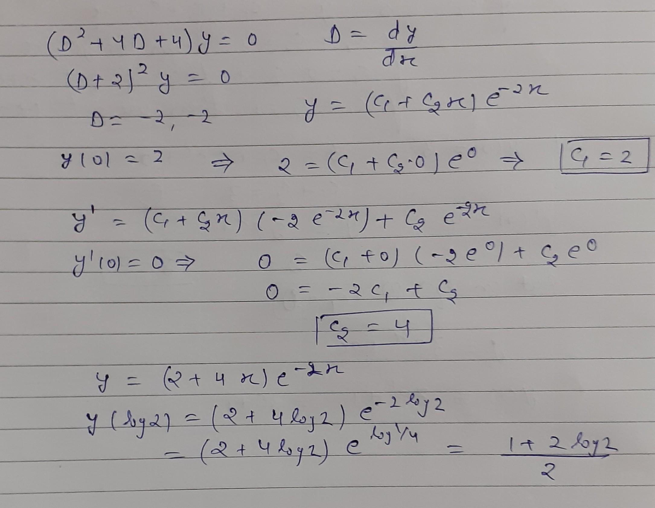
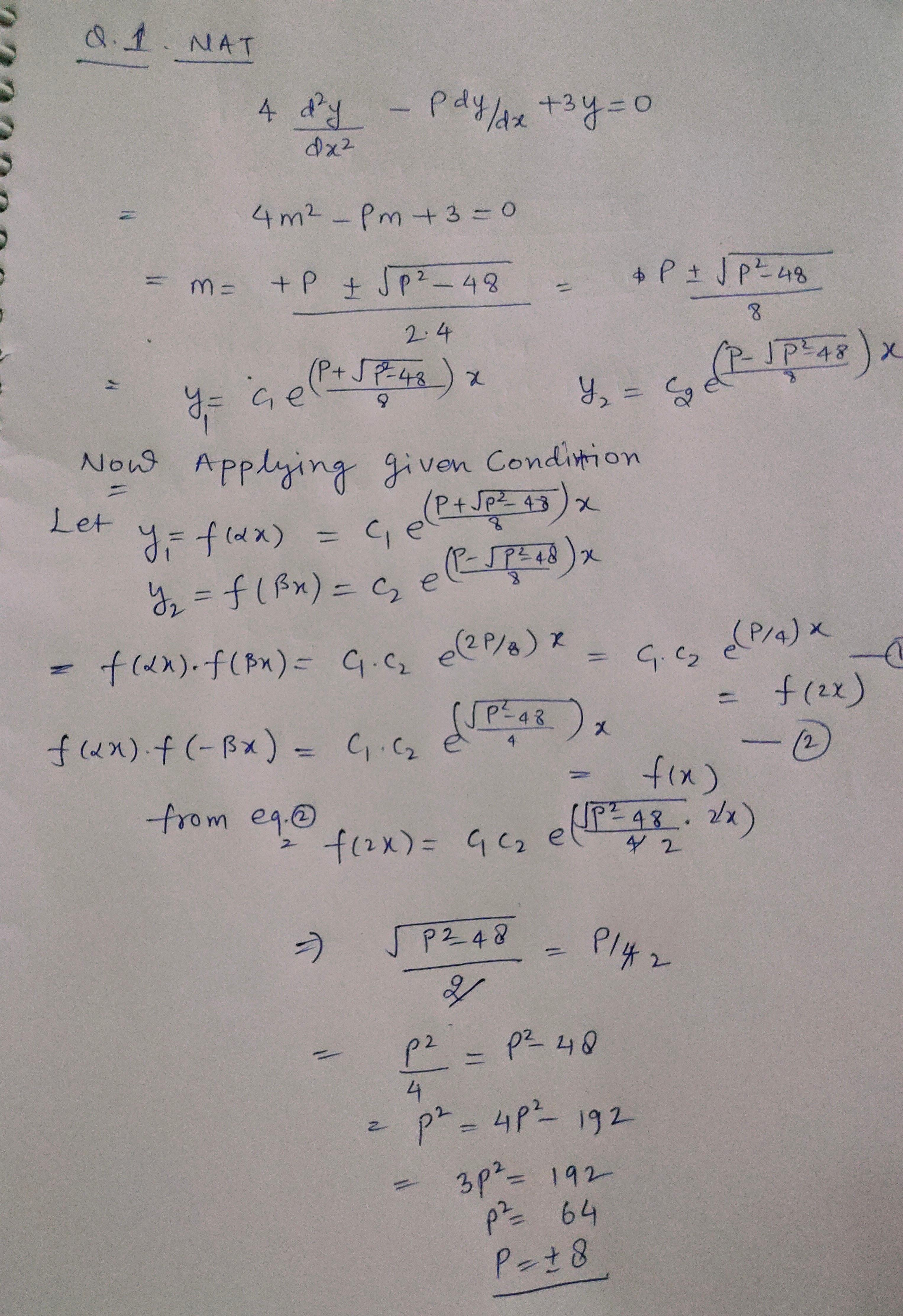
Q.3 answer 3e+1 Q2 answer is 5 Q4 answer see attachment Q5 answer is log(3/4) see attachment Q1 answer is 8