Jinesh Jain posted an Question
March 22, 2022 • 18:43 pm 30 points
  • IIT JAM
  • Mathematics (MA)

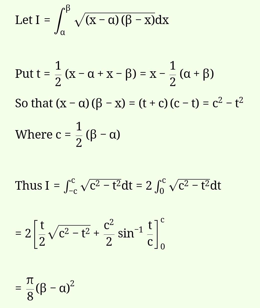
9. (r+x+ 1)/ vx +2r+3. 10. evaluate j, v ( - a )(b-x).

9. (r+x+ 1)/ Vx +2r+3. 10. Evaluate J, v ( - a )(B-x).

1 Answer(s) Answer Now
  • 0 Likes
  • 1 Comments
  • 0 Shares
whatsapp-btn

Do You Want Better RANK in Your Exam?

Start Your Preparations with Eduncle’s FREE Study Material

  • Updated Syllabus, Paper Pattern & Full Exam Details
  • Sample Theory of Most Important Topic
  • Model Test Paper with Detailed Solutions
  • Last 5 Years Question Papers & Answers