Time management is very much important in IIT JAM. The eduncle test series for IIT JAM Mathematical Statistics helped me a lot in this portion. I am very thankful to the test series I bought from eduncle.
Nilanjan Bhowmick AIR 3, CSIR NET (Earth Science)
>


Priyanshu kumar Best Answer
option A
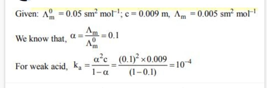
Sir Con. 0.009 m Q ??
question is similar here it is taken 0.009...but in your question it is 0.09...so dont be confuse
okay sir