Time management is very much important in IIT JAM. The eduncle test series for IIT JAM Mathematical Statistics helped me a lot in this portion. I am very thankful to the test series I bought from eduncle.
Nilanjan Bhowmick AIR 3, CSIR NET (Earth Science)
>
>



Chandra prakash
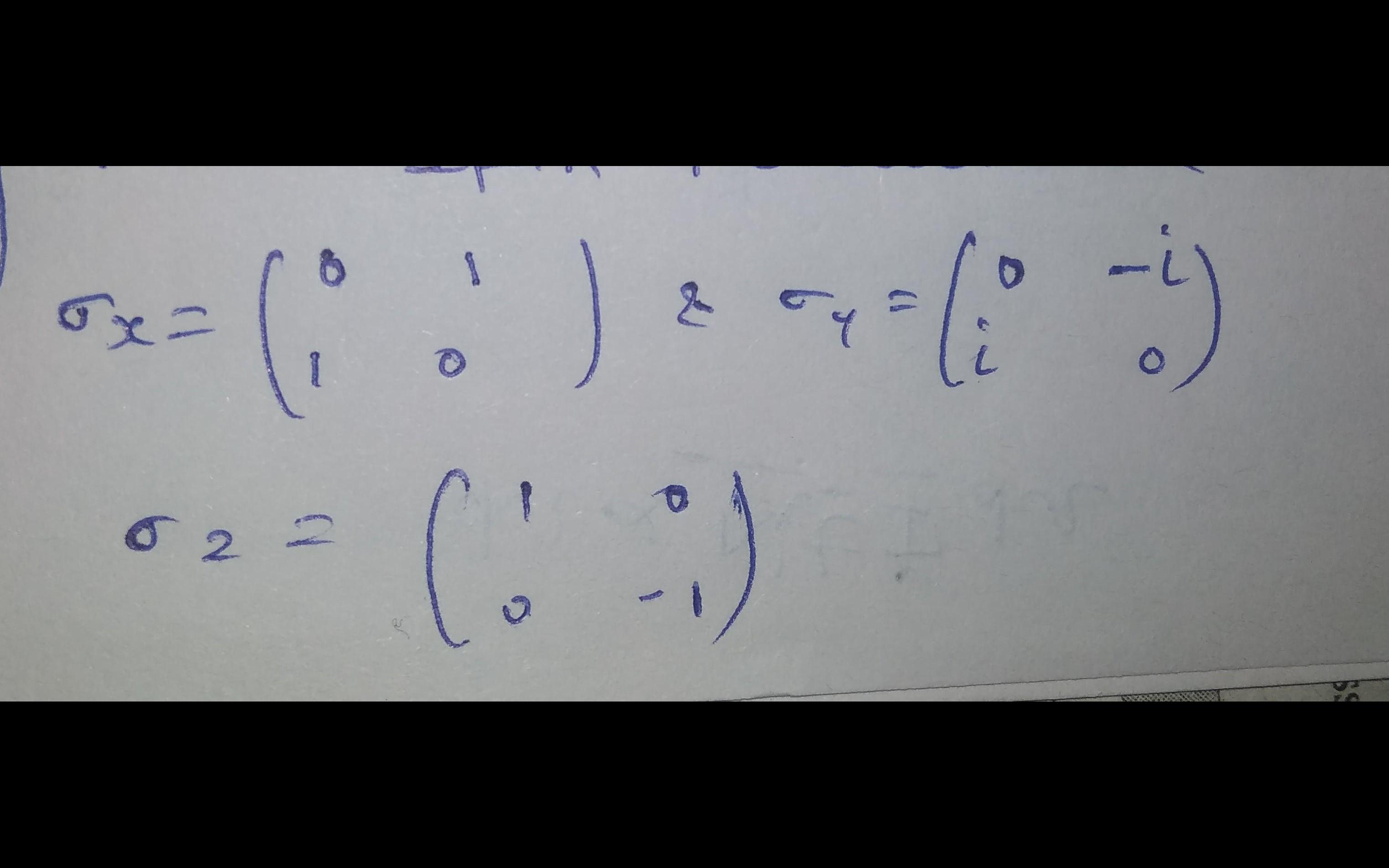
dear in this question most important think is that anti cumutaiom relation which is AB+ BA......but if we given cumutation relation so we take AB-BA.. OK hope uh get it dear... best regards
so don't get confused about cumutation and anti cumutataion....
hope you got it my point dear
yes sir