Time management is very much important in IIT JAM. The eduncle test series for IIT JAM Mathematical Statistics helped me a lot in this portion. I am very thankful to the test series I bought from eduncle.
Nilanjan Bhowmick AIR 3, CSIR NET (Earth Science)

>
>


Samveel ansari
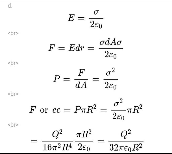
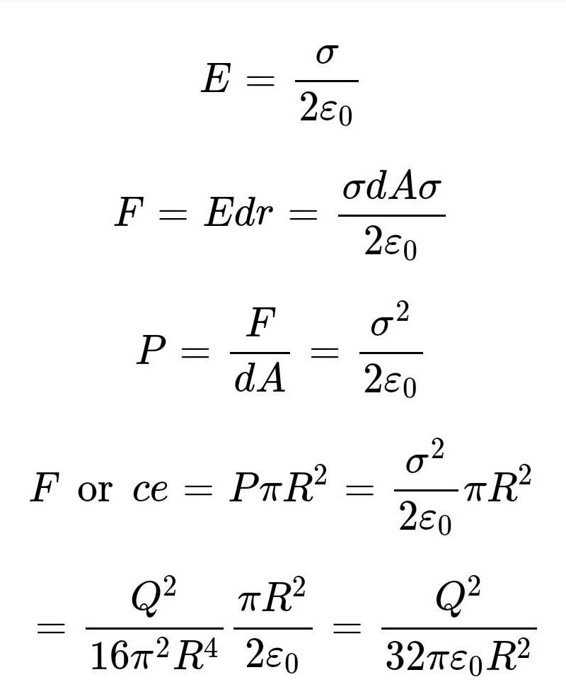
sir why we have taken the area ^r²( pie r²) and not 2^r² (2pie r²) which us the area of half sphere??